노션으로 링크트리 대체하기 !

템플릿은 글 맨 밑에 있어요 👇

 

최근 들어 개인들이 사용하는 SNS가 많아짐에도

인스타그램 프로필 bio에는 한 가지 주소밖에

넣을 수 없다는 한계점을 극복하기 위해

링크 트리와 같은 서비스들이 많이 등장하고 있습니다.

 

링크 트리는 기본적으로 무료이고,

꽤 다양한 템플릿을 제공하고 있기 때문에

많은 분들이 쉽게 사용하는 것 같습니다.

출처 : 링크트리 홈페이지

하지만 저는 링크 트리가 무료 버전이 갖는 한계와

디자인적인 제한점들을 벗어나고 싶었습니다.

 

어디선가 느껴지는 삼성 갤럭시 S10e 느낌에

썩 만족스럽지는 않았고, 링크 개수가

제한된다는 과금 구조도 공감이 어려워

 

그래서 링크 트리와 비슷한 기능을 할 수 있는

무언가를 찾았고 그 정답은 '노션'이었습니다.

 

노션으로 링크 트리와 충분히 똑같은

기능을 하면서도 더 자유롭고 더 예쁘게

만들 수 있는 노션 템플릿을 공유합니다.

 

두 가지 버전을 만들었습니다.

1. 링크 트리보다 업그레이드한 버전

2. 링크 트리랑 최대한 유사하게 만든 버전

 

 

링크 트리보다 업그레이드한 버전

좌 : PC / 우 : 모바일

좌측 이미지는 PC에서 보이는 화면,

우측 이미지는 모바일에서 보이는 화면입니다.

PC에서 2단 분리로 보이는 부분이

모바일에서는 세로로 이어져서 보입니다.

 

단 분리를 해서 좌측에는 이미지, 우측에는 링크를 넣었습니다.

링크는 모두 콜 아웃을 사용해서 박스로 구성했습니다.

 

링크 각 이름마다 url을 하이퍼링크로 삽입해서,

클릭하면 해당 주소로 이동이 가능합니다.

 

각 아이콘은 기본 이모지를 활용할 수도 있고

구글에 "유튜브 로고 png"와 같은

방법으로 검색해서 하나하나 이미지를 넣으면 됩니다.

 

예시로 아티스트를 가정해서

SNS, 음원사이트, 연락할 수 있는 오픈 카카오톡 주소

이렇게 세 개로 구성해봤습니다.

 

원하시는 링크를 자유롭게 구성하면 됩니다!

 

 

** 해당 페이지의 이미지는 oth, 의 wallpaper를 활용했습니다.

이미지 출처 : othcomma.kr/

 

 

링크 트리랑 최대한 유사하게 만든 버전

좌 : PC / 우 : 모바일

위와 같은 구성이나, 

링크 트리와 최대한 유사하게 만들었습니다.

 

PC에서 볼 경우는 다소 비율이 예쁘지 않지만,

모바일에서 보는 경우 깔끔해서 사용하기 좋습니다!

 

위의 이모지는 기본 이모지 세트에서 한 가지를 

선택해서 넣을 수도 있고, 

 

자신만의 로고나 다른 이미지를 삽입해서

업로드할 수도 있습니다.

 

템플릿 사용법

아래의 템플릿 링크 주소를 들어가 보면

우측 상단에 위와 같은 이미지가 있습니다.

 

여기서 "복제"를 누르면

본인의 노션으로 해당 템플릿이 복제됩니다. 

 

이후 자유롭게 수정하여 사용하시면 됩니다!

 

👇 템플릿 링크 주소👇

1. 링크 트리보다 업그레이드한 버전

 

[클론노션] 링크트리 (img ver)

A new tool for teams & individuals that blends everyday work apps into one.

jolly-english-7f9.notion.site

2. 링크 트리랑 최대한 유사하게 만든 버전

 

[클론노션] 링크트리 (text only)

SNS

jolly-english-7f9.notion.site

 

다른 노션 템플릿도 구경하기

 

Notion for you

템플릿을 넘어 노션으로 서비스 구현까지 노션으로 할 수 있는 모든 것을 담습니다.

jolly-english-7f9.notion.site


대학생이라면 노션 프로를 공짜로 쓸 수 있어요!

 

[꿀팁] Notion 노션 학교계정 변환 방법 - 개인 프로 무료 업그레이드

[꿀팁] Notion 노션 학교 계정 변환 방법 - 개인 프로 무료 업그레이드 대학생 2021 파일 업로드 무제한으로 바뀌는 노션의 매달 5달러짜리 개인 프로 요금제가 대학생과 교사 대상으로 무료 사용으

slowslow.tistory.com

 

 

코로나로 인해 취업난이 심화되고,

개발 관련 직군 연봉 경쟁으로 어느 때보다

개발자에 대한 수요와 공급이 폭발적으로

증가하고 있는 지금이다.

 

그렇기에 사교육 강국인 대한민국은

역시나 이 흐름을 놓치지 않는다.

 

멋쟁이 사자처럼, 스파르타 코딩 클럽,

탈잉, 패스트 캠퍼스, 코드 잇 등

대한민국은 지금 코딩 교육 전쟁 중이다.

 

각 채널마다 강조하는 부분과 전략이 다른데,

그중 오늘은 코드 잇의 전략을 살펴보고자 한다.

 

출처 : 코드잇

기존의 코딩 강의들이 '직무교육'스러운

접근을 지속해온 것과 반해 코드 잇은

명확하게 타깃을 '20대 대학생/취준생'으로

좁힌 전략을 보이고 있다.

 

코드 잇은 현재 위처럼

대학생 랜선 대외활동 대코캠

을 운영하고 있다.

 

대코캠은

일정 활동기간 동안 코드 잇의강의를 수강하고, 

수료증, 인증서 등의 자료를 제공받는 형태이다.

 

출처 : 코드잇

이 마케팅은 4000명 이상 단위의 지원자를 모집하고

6개월도 안 되는 짧은 기간 동안 5회 차를 진행할 만큼

성공적인 사례로 보인다. 

 

그렇다면 대코 캠은 왜 성공했을까?
필자는 다음과 같다고 생각한다.

🔥'코딩 학습비 지원'이라는 모호한 문장을 사용했다.

  • '지원'이라는 단어로 혼동을 줘 '무료'-'저렴함'을 인식하게 하고
    지원을 결심하게 한다.
  • 그리고 실제 지원하려고 보면, 코딩 교육비 지불이 필요하다.
    이미 지원을 결심하고 일정 확인, 지원정보까지 작성한 후에는
    3만 원대의 소정의 교육비는 "에이 공짜는 아니었네"
    "그래도 저렴하네"라는 방식으로 전환을 용이하게 했을 것이다.
  • 왜냐하면 이미 이들에게 이 프로그램은 '강의를 사는 것'이 아니라
    '대외활동'에 참여하는 것이기 때문이다.
  • 대학생들은 '강의를 사는 것'보다는 '대외활동'에 더 큰 가치를 느낀다.
    따라서 투자하려 하는 금액의 규모가 다르다.
    이를 잘 노린 것으로 생각된다.

🔥홍보방법과 신청방법의 디테일

  • 대부분의 코딩 교육은 구글 광고, 유튜브 광고 등
    SNS 광고 매체를 통해서 접하게 된다.
    • 하지만 코드 잇은 '대외활동'으로 포지셔닝 했기때문에
      쓱싹, 올콘, 대티즌, 위비 티 등 대외활동 홍보 채널을 통해
      홍보를 할 수 있었다.

    • 같은 홍보/광고라고 할 지라도, SNS 광고 매체와
      대외활동 광고 매체라는 매체 특성상 기본적인 대중들의
      스탠스가 다를 수밖에 없다.
    • SNS 광고보다 대외활동 광고매체는 더 쉽게 신뢰를 얻을 수 있다.

🔥코딩 교육 홈페이지는 대부분 자사 홈페이지를 가지고 있다.

  • 개발 교육을 하는 곳인데 홈페이지가 없거나 구리다면,
    아무도 그 교육을 신뢰하지 않을 것이기 때문이다.
    홈페이지가 있기에, 교육신청은 당연히 홈페이지에서
    진행하는 것이 일반적이다.
    • 코드 잇도 물론 홈페이지가 있지만,
      대코 캠의 신청은 홈페이지에서 진행하지 않았다. 구글 닥스를 통해 진행했다.
  • 구글 닥스는 대학생들에게 가장 익숙한 신청 툴이다.
    • 특히 동아리, 대외활동의 대부분은 구글 닥스를 통해 신청하기 때문에
      대코 캠이 '강의 구매'가 아니라 '대외활동'이라는 점을
      강조할 수 있었던 것으로 보인다.
    • 이 부분에서 코드 잇 기획의 디테일함을 느낄 수 있었다.

 

요약

성공 이유  내용
타겟 전환

'비전공자'로 다소 애매했던 기존 타겟과 달리,
20대 대학생 / 취준생으로 타겟을 구체화/전환했다.
-> 적절한 마케팅 방식을 사용해 커뮤니케이션 방식이 쉬워지고, 타겟들의 반응을 이끌기 쉬워졌다.
대외 활동

인강 하나를 듣는게 아니라 스펙, 경험이 될 수 있는 '대외활동'이다.
-> 참여를 독려하고 금전적 투자를 정당화한다.
코딩 학습비 지원

'무료'를 연상시키는 '지원'이라는 모호한 단어로 후킹한다.
-> 고객 구매여정 중 '결정'을 초기에 발생시킨다.
홍보/신청 방법

대외활동 홍보채널, 구글닥스를 통해 진짜 '대외활동'처럼 보이게 홍보를 진행했다.
-> '인강 구매'가 아니라 '대외활동'이라는 점을 자연스럽게 받아들이게 한다.

 

 

대외활동 홍보 채널에 올라온 대코캠 포스터와 구글닥스를 통한 신청란

 

결론적으로,
코드잇은 기존에 만들어 놓은 강의를 그대로 활용하되
콘셉트만 살짝 비틀어 수천 명의 수요를 만들어 냈다는 점에서
타깃 설정과 적절한 포지셔닝과 IMC의 성공이라고 볼 수 있다.

 


 

물론 해당 프로그램이 기존의 대외활동과 성격이 

많이 다르기 때문에 대외활동이라고 불릴 수 있는가?

에 대한 논란이 있을 수 있다.

 

학생들이 직접 어떤 경험과 참여를 하는 것보단, 

강의를 듣고 수료증을 발급받는 것에 초점이 있기 때문이다.

 

하지만 "대외활동"이라는 카테고리에 속하냐 아니냐를 떠나,

기존 코딩 교육 경쟁사들의 관성을 따르지 않고

시장에 새로운 전략으로 도전했다는 점에서

마케팅 전략의 똑똑한 사례라고 볼 수 있을 것이다.

 

앞으로도 코드 잇의 마케팅 전략이 기대된다.


다른 마케팅 사례 보러 가기👇

 

 

[마케팅 전략] 쿠팡은 왜 무료배송인척 연기할까? - IMC, 로켓배송

쿠팡을 이용하다 보면 위와 같은 화면을 자주 마주한다. 로켓 배송, 로켓 와우인 제품들은 당연히 무료배송이지만 그게 아닌 제품들은 단순히 쿠팡이라는 플랫폼에 온라인상으로만 공유되어있

slowslow.tistory.com

 

애플🍎은 왜 각인서비스를 제공할까? [마케팅 케이스 스터디]

애플은 에어팟2 출시를 기점으로 각인 서비스를 제공하기 시작했다. 한글, 영어, 숫자, 이모티콘 등등 언어 지원 범위도 꽤 넓다. 각인 서비스는 대부분 굿즈류를 판매하는 판촉물 기업에서 많이

slowslow.tistory.com

 

애플은 에어팟2 출시를 기점으로 각인 서비스를 제공하기 시작했다.

한글, 영어, 숫자, 이모티콘 등등 언어 지원 범위도 꽤 넓다.

 

각인 서비스는 대부분 굿즈류를 판매하는

판촉물 기업에서 많이 제공하는 서비스이다.

 

하지만 애플은 최고의 IT 기업 중 하나이다.

판촉물이라는 이미지와 애플은 어쩌면 

대척점에 있을지도 모른다.

 

보통 레이저를 통해 각인을 하는데,

당연히 이를 위한 추가적인 작업이 발생한다.

 

특히 판촉물처럼 다량이 아니라

애플처럼 주문 마다의 다른 각인을 

제공하려면 그만큼 작업과정의 비효율이 커져

공임비가 증가하는 악영향이 있다.

 

즉, 원가가 올라간다는 의미이다.

 

그렇다면 애플은 왜 ?

 

원가 절감을 위해 이어폰을 빼고,

원가 절감을 위해 충전기를 빼던,

 

애플은 왜 각인 서비스를 제공할까??

 

2021.05.08 현재

번개장터에 '에어 팟'의 검색 결과는

총 37,064개다.

 

가장 큰 채널인 중고나라의 경우

2021.05.08 00시부터 22:00시의 기간 동안만

총 646개의 '에어 팟' 관련 글이 올라왔다.. 

 

이를 600개로 보정하고 매일 600개씩

1년 동안 게시글이 꾸준히 올라오되,

그 중복 글/판매글이 아닌 글의 비율을 30%라고 가정하여 제외하면

지난 1년간 153,300개의 에어 팟 판매글이 올라왔을 것으로 추측할 수 있다.

 

하고자 하는 말은 다음과 같다.

애플에게 '중고거래'는 분명히 악 요소다.

 

이유

  1. 새 제품이 아닌 중고로 거래해 매출이 증진되지 않는다.
  2. 프리미엄을 고수하는 애플에게, 중고거래를 통해 애플 제품을 구입하는 것은
    소비자에게 애플의 제품과 '중고', '저렴'과 같은 단어의 연결을 강화하여 이미지에 악영향을 미친다.
  3. 애플 제품을 사기당할 경우 '애플' 제품을 경험하면서 '사기'를 당한다는 구매와 브랜드에 있어 부정적인 영향을 줄 수 있다.
    (물론 이는 애플 제품을 중고거래로 구입하지 않는 동기가 될 수 있다.)
  4. 중고로 거래되는 양의 데이터를 정확히 파악하기 어려워, 수요예측 데이터로 활용할 수 없다.

결론적으로 애플은 중고거래를 막아야 한다.

사실 애플뿐 아니라 모든 B2C 업체들이 그래야 한다.

 

따라서, 필자는 애플이 '각인'서비스를 제공하는 이유가

해당 중고거래를 막아 위의 네 가지 이유를 극복하기 위함이라고 생각한다.

 

소비자가 각인 서비스를 받으면,

에어 팟에 "홍길동"이라고 적혀있을 것이다.

(혹은 생일, 별명, 자신만의 사인 등등 )

 

판매자는 어떠할까?

자신만의 무언가 사인이 적혀있는 제품을

소유주는 중고거래로 팔기 꺼림칙해진다.

왠지 개인정보가 세어나가는 느낌이기 때문이다.

 

구매자는 어떠할까?

당연히 더 껄끄럽다. 제품을 사는데 거기에

남의 이름이 떡하니 적혀있다면,

분명 큰 불편감을 느낄 것이다.

 

만약 그럼에도 판매자가 판다 해도,

구매자 또한 각인된 제품을 좋아하지 않을 것이 분명해

비각인 제품 대비 거래가 어려워질 것이다.


따라서 애플은 중고거래 활성화를 막아,

매출 증진과 프리미엄 이미지 핸들링을

원활히 하기 위한 방법으로 각인 서비스를 도입했을 것이다.

오픽 OPIC 공부를 하면서 모았던 기출문제 모음 블로그 링크들 공유합니다.

오픽 공부 자료를 구하시는 분들에게 도움이 되길 바랍니다.

 

** 언젠가 오픽을 다시 보게 될까 봐 정리해 두는 목적에 가깝지만

 

1. 안량 티스토리 블로그

 

오픽(OPIc) 공부법 정리 (feat 오픽노잼)

기본적으로 OPIC은 대화를 잘 하는가를 보는 테스트이다. 물론 대화가 어느 정도 될 정도로 기본 Listening & Speaking Skill을 깔고 가야 하는 거지만 더 중요한 거는 얼마나 잘 소통하는가이다. 물론 잘

anryang.tistory.com

 

2. 네이버 블로그

 

오픽(OPIc) 기출문제1 입니다.(5-5난이도)

1. Let's begin the interview. Tell me a little it about yourself. 인터뷰를 시작하도록 합시다. 자신...

blog.naver.com

 

3. 오픽 자료 공유 티스토리 블로그

 

'오픽 기출변형문제/오픽 최신경향 Q' 카테고리의 글 목록

오픽 자료 공유 티스토리

opicmanager.tistory.com

 

 

4. 오픽 기출문제 정리 베베 서울 티스토리 블로그 

 

[OPIC] 오픽 기출문제 총 정리 : (1) 자기소개

오픽 자기소개 공략 #오픽 독학 후기 #독학으로 오픽 정복하기 #OPIC 공부 비법 총 정리 안녕하세요. 오늘은 오픽(OPIC) 주제별 공략 첫 번째 주제인 '자기소개' 편입니다. 주요 기출문제 및 예시 스

babeseoul.tistory.com

 

5. 해커스영어 오픽 문제

 

실전 오픽 시험문제 무료 :: 해커스영어

매일 업데이트 되는 OPIc등급별 문제로 오픽독학 및 오픽레벨AL 달성가능!, 오픽시험 전 무료문제로 실전대비!

www.hackers.co.kr


단기로 IH 받은 공부 방법👇

직접 오픽공부를 하면서, 가장 저렴하고 효과적으로

IH를 달성할 수 있었던 오픽공부방법에 대해 작성했습니다.

오픽 공부 방법에 대해서 도움이 될 겁니다!

 

[총정리] 오픽 쉽게 IH 받는 방법 - 대학 연합 오픽 후기 (강의 추천, 준비물, 인천 CBT 센터, 강남

**공지사항** 광고는 없어요. 그냥 후기입니다. 무료로 강의를 업체에 제공받은 것도 아니고 학교 연계해서 들은 거라 돈 내고 들은 것도 아니라서 내 돈 내산이라고 하기에도 그래요. 어쨌든 광

slowslow.tistory.com


(추가) 오픽 책 링크 공유
https://coupa.ng/b7SjkJ

 

2주 만에 끝내는 해커스 OPIc 오픽 START Intermediate 공략:스피킹 초보를 위한 OPIc 필수 학습서

COUPANG

www.coupang.com

* 이 링크는 쿠팡파트너스활동의 일환으로,이에 따른 일정액의 수수료를 제공받습니다.

 


오픽 응시료 할인 받는 방법 (2023.10)

 

오픽 응시료 할인 받는 방법 / 쿠폰 구하는 방법 (2023년 10월)

요즘 OPIc 가격 정말 비싼 거 같습니다 하반기 준비 하시는 분들께는 TOEIC OPIc 토스 중에 하나 이상은 필수적으로 악성종을 가지고 있어야 하기 때문에 반 강제로 보게 되는 어학시험인데요 2023년

slowslow.tistory.com


오픽 결과 미리 확인하는 방법 (2023.10)

 

OPIC 오픽 결과 미리 확인하는 방법 (2023.10 기준)

요즘 하반기 공채가 올라오면서 많은 분들이 OPIc 시험을 응시하고 또 결과를 기다리실 것이라고 생각합니다. 3일에서 5일 또는 7일 이상의 결과 발표까지 의 시간 차이 리드타임 있습니다 조금

slowslow.tistory.com

 

_

쿠팡을 이용하다 보면 위와 같은 화면을 자주 마주한다.

로켓 배송, 로켓 와우인 제품들은 당연히 무료배송이지만

그게 아닌 제품들은 단순히 쿠팡이라는 플랫폼에

온라인상으로만 공유되어있는 제품들이기에

대부분은 '무료배송'이 아닌 것이 일반적이다.

 

출처 : 쿠팡

 

그렇다면 보통 유료 배송 2500원 (3만 원 이상 구매 시 무료배송)

이런 식으로 커뮤니케이션하는 것이 일반적이다.

 

하지만 위의 사진에서 확인할 수 있듯이 

쿠팡은 무료배송 (7만 원 이상 구매 시) | 그 외 배송비 2500원

라는 표현으로 유료배송이라는 것을 에둘러 표현하고 있다.

 

쿠팡은 왜 이런식의 표현을 하는 걸까?

당신은 쿠팡 하면 무슨 단어가 가장 빨리 떠오르는가?

아마 빠르다! 로켓배송 ! 일 것이다.

 

쿠팡은 이미 로켓배송이라는 워딩을 통해

빠르다는 키워드가 강하게 인식되어있다.

아니, 어쩌면 독점하고 있을 수 있다.

 

빠른 배송, 이라는 이미지 이후에 쿠팡이 택한

이미지가 아마 '무료배송'인 듯하다.

 

특히 이번에 '비'씨가 출연한 광고를 보면

역시 "배송비가 없다"라는 것을 강조하고 있다.

 

** 물론 로켓 배송 상품의 전체 무료는 한시적인 이벤트로

이번 네이버, 이베이, 위메프 등 이커머스 기업들의

경쟁 심화로 이어진 프로모션 일환이기에,

장기적인 커뮤니케이션 방식이라고 보긴 어려운 게 사실이다.

 

어쨌든, 다시 주제로 돌아가서.

.

.

쿠팡은 왜 무료배송 인척 할까?

무료배송이 아닌 상품도 무료인 것처럼 혼동시키는 것은

소비자 불편으로 이어지지 않을까?라는 리스크가 있는데도

쿠팡이 무료배송인 것처럼 적는 데에는 아마 아래의 이유가

있을 것이라고 추측해본다.

 

하나. 주문 페이지로 전환율 증가

무료배송이라고 착각해서 결제 가격을 혼동시킨다.

9000원 + 배송비 3000원 인데도,

9000원이라고 생각하게 해서 제품 상세 페이지에서

주문 페이지로 넘어가게 하는 비율을 높인다.

 

[ 제품 상세 페이지 > 주문 페이지 > 결제 ]

세 단계가 있을 때

상세 페이지에서 주문 페이지로의 전환율이 낮았다면?

이라는 가설도 세워볼 수 있고,

 

주문 페이지에 도착한 유저의 대부분이 결제로 이어진다면,

상세 페이지로 전환시킨다면 이는 결제를 의미하기에

직접적인 매출 상승을 기대했을 수도 있다.

 

둘. 포지셔닝

(이 부분이 더 메인일 것이라고 생각한다.)

 

로켓 와우, 로켓 배송 등을 필두로

무료배송 무료반품이라는 키워드를 통해

쿠팡은 무료배송이다라는 이미지를 조금이라도

각인시키기 위함일 수 있다.

 

위의 예시처럼

- 유료 배송 2500원 | 3만 원 이상 구매 시 무료배송

- 무료배송 ( 3만 원 이상 구매 시 ) | 그 외 배송비 2500원

결국 같은 뜻인데도 다른 두 가지의 차이는 무엇일까?

바로 '유료'라는 단어를 쓰지 않는 것이다.

 

그리고 '무료배송'이라는 단어를 먼저 노출시켜

'무료배송'이라는 이미지와 연결을 강화한다.

 

결국 쿠팡은 '유료 배송'이라는 단어와 멀리하고

'무료배송'이라는 단어와 가까이해서 

어느 경쟁사도 갖지 못한

'빠른 배송', '무료배송'이라는

두 가지 이미지를 선점하려는 전략을

실행하고 있는 것으로 보인다.

 

.

.

 

지금 쿠팡 잇츠가 한소희 씨 모델로

"쿠팡 이츠는 바로 가니까"라는 멘트로

빠르다! 만을 강조하는 것처럼
쿠팡의 마케팅은 하나의 시즌에

한 가지 콘셉트를 강조하는 데에

모든 리소스를 투입하는 듯하다.

 

 


다른 마케팅 사례도 궁금하다면 !

 

중고나라 사기 주의보는 좋은 마케팅일까? [마케팅 기획 분석]

중고나라는 사기 나라다? 중고나라 사기 피해 중고나라 벽돌 거래 등등 한 번쯤 들어본 적 있지 않은가? 국내 중고거래에 대한 최소한의 룰이나 인정성이 보장되기 전부터 중고 거래시장을 활성

slowslow.tistory.com

**공지사항**

광고는 없어요. 그냥 후기입니다.

무료로 강의를 업체에 제공받은 것도 아니고

학교 연계해서 들은 거라

돈 내고 들은 것도 아니라서 내 돈 내산이라고

하기에도 그래요.

어쨌든 광고성 대가성 없는 후기입니다.

 

시험성적

2021년 4월 시험 응시했고, 연세대 졸업생 치고는 평균-낮은 성적이지만, 저는 IH를 받았습니다. 

 

배경지식

전형적인 한국형 영어를 해왔어요.

수능은 1등급을 받았지만 영어 자체는 늘지 않았고

대학에서 영어강의는 다 피해 들으면서 졸업을 했습니다.

 

토익은 800대가 나오고

영어에 익숙하지 않고 잘 못하는 편입니다.

특히 스피킹 라이팅은 더더욱!

 

< 준비과정 >

1. 오픽 노잼

오픽 무료 강의 관련해서 가장 유명한 오픽 노잼님의 강의를

처음에는 들었었어요.

오픽을 가장 '영어', '언어'스럽게 접근한다는 

주변 지인들과 커뮤니티의 후기가 많았기 때문이에요.

 

하지만 실제로 들어보니 우선 영상 관련한 '스크립트'

자료가 없다 보니 영상을 따라가기 어려웠어요.

 

그리고 하나하나 주제를 주섬주섬 대응하는 느낌..?

"이럴 때는 이렇게 말하세요"가 아니라

"이런 주제도 있어요! 아! 이런 표현도 있고요!" 이런의

강의라고 느껴져서 체계적인걸 좋아하는

제게는 잘 맞지 않았던 것 같아요.

 

이때 오픽 노잼을 계속 들으면서도

몇 문제고 어떻게 접근해야 하고

이런 것들은 제대로 알지 못했고

결국 시험에 임박해서 응시를 취소했어요.

 

**오픽 노잼님의 강의만으로도

좋은 성적을 받으신 분들이 많아요.

강의 자체도 주제나 퀄리티면에서 좋은 점이 많고요!

다만 저의 성향과는 맞지 않았다!

라는 것이 요점입니다!오픽 노잼 파이팅

 

 

2. 해커스 강의

제가 오픽을 준비하면서 시간을

많이 쓰고 헤맬 수 없었기 때문에

'체계적인' 강의를 듣고 싶다는 마음에

해커스 강의를 듣게 되었습니다.

 

물론 돈 주고 들은 건 아니고

저희 학교는 해커스와 연계해서

조금 기간이 지난? 인터넷 강의들을

무료로 들을 수 있는 폐쇄몰? 같은 사이트가

있어서 그곳에서 무료로 들었습니다.

 

처음엔 2주짜리 IH/AL 목표 강의로

도전했지만 시간 투자를 많이 하지 못해 

다 듣지 못했고,

클라라 선생님의 10시간짜리 만능 템플릿?

강의를 들었습니다.

 

 

말이 10 시간 짜리지 강의당 30분 10개 강의라서

300분 = 5시간이어서 강의 시수가

짧아서 부담이 적었어요.

 

아무래도 모든 시험이 그러하듯

강의는 필요한 내용만 짧게 짧게 배우고

스스로 문제를 풀든 연습하든

하는 시간이 중요한 것 같습니다.

 

** 제가 들었던 강의를 해커스 인강에서 들을 수 있더라고요. 그래서 링크 남깁니다. 광고 없음

 

토익인강 1위 해커스 챔프스터디

토익인강 1위 해커스 토플,텝스,토익스피킹(토스),오픽(OPIc),아이엘츠(IELTS),SAT,지텔프(G-TELP)일본어(JLPT),스페인어,제2외국어,기초영어문법·작문·회화·청취·듣기·단어 공부방법, 교재·문제·무

champ.hackers.com

 

유료로 수강해도 가격이 7만 원 대정 도로 꽤 합리적인 가격 같아요.

주변 지인들이 고민한다면, 저는 추천할 것 같아요.

 

강의 학습 과정

1. 빠르게 강의를 다 들음

두 배속으로 쇼로록 다 들었어요.

강의를 들으면 중간중간 클라라 선생님이

질문하실 때가 있고 혼자 연습해봐라!

라고 하실 때가 있는데 그 부분은

충실히 따라갔습니다.

 

2. 강의자료 필기

수업 들으면서 강의자료를 필기했고

이를 제 손으로 다시 정리했어요

 

10가지 주제마다 어떤 소재가 나오고

나는 어떤 흐름으로 대답할 것인지

A4 세 페이지 정도에 정리했습니다.

 

3. 연습

적어둔 템플릿에 맞춰서 주제를 하나하나 대입해보면서

유창하게 말하는 연습을 했어요

중요한 건 처음부터 끝까지 크게 멈칫하지 않고

계~속 말하는 걸 목표로

한 번이라도 크게 멈칫하거나 할 말이 생각나지 않으면

처음으로 돌아가 무한반복을 했습니다.

 

연습은 하루정도? 내내 한 것 같아요.

 

이렇게 10시간짜리 인강을 듣기 시작하면서

준비한 기간은 총 4일 정도예요.

 

템플릿 강의?

오픽에서 자주 나오는 문항들을 유형화시켜서

어떤 '주제'가 나오더라도 비슷한 패턴으로

대답할 수 있게 하는 게 '템플릿'강의예요.

 

다만 주의할 점은 오픽에서도 '템플릿'에

대응하기 위해서 지나치게 템플릿스러운

답변을 하는 경우 성적을 낮게 준다고 하더라고요

 

특히 템플릿 강의만으로는 AL을 받기 어렵다는

의견을 많이 봤습니다.

 

하지만 저는 IH가 목표였기에

템플릿 강의를 선택해 들었습니다.

 

응시료

시험 응시는 대학연합 오픽을 이용했습니다.

기존 토익 응시료인 78,000원은 너무 비싸요.

 

그래서 할인받는 법을 찾고 찾아서

대학연합 오픽을 찾았어요.

 

대학생(재학생/휴학생)이라면 신청할 수 있고

아무 불이익이나 의무 없이

66,000원으로 할인받을 수 있어요.

 

대학생이라면 꼭! 

대학 졸업 처리되기 전에! 신청하셔서

혜택을 받으시길 바라요.

 

신청방법

여기 들어가셔서 회원 가입하고

시험과목, 날짜, 고사장 위치 선택해서 신청하시면 됩니다.

 

OPIc

 

univ.opic.or.kr

 

대학 연합 오픽 차이점

1. 가격이 더 저렴하다.

2. 시험 응시 가능일, 장소가 한정적이다.

3. 1년에 1번만 볼 수 있다.

4. 대학생만 볼 수 있다.

5. 성적 발표가 무조건 1주일이 걸린다.

6. 신분증 외에 '재학증명서'를 출력해 가야 한다.

 

일반 오픽과의 공통점

1. 일반 오픽 응시자들과 함께 시험을 본다.

2. 실제 취업에서는 기존 오픽과 차이가 없다.

 

 

그러니 오픽 성적이 급하지 않고

대학생 신분이 유지된다면,

대학 연합 오픽을 신청하는 것을 권해드립니다.

 

 

오픽 준비물

신분증만 들고 가시면 됩니다.

* 대학연합 오픽의 경우는 '재학증명서'를 출력해가셔야 해요.

 

연필, 노트, 텀블러(물병) 다

시험시간에는 가방에 넣어야 합니다.

수험표도 확인 안 해요!

 

 

시험장 꿀팁 

다른 수험자들이 많이 신경 쓰이는 게 사실이에요.

신경 안 쓰기 위해서는 '후드티' 입고 가는 걸 추천합니다. 

 

후드를 쓰면 어깨선 위로 하나의 벽을 더 만드는 느낌이에요

그러면 모니터 속 Eva와 나만 있는 작은 공간을 

만드는 것 같은 효과를 만들 수 있습니다.

 

오픽 시험장에서 다른 사람들이 너무

신경 쓰인다면 꼭! 후드티, 후드 집업 추천드려요.

 

그리고, 최근 코로나로 사회적 거리두기가 있어서

고사장 내에서도 자리를 많이 띄어서 앉게 되어있어요.

때문에 코로나 이전보다는 더 시험 보기에

수월해지지 않았나 싶습니다.

 

인천 CBT 센터 주의사항

 

정수기가 있지만 코로나로 내부에서 물을 마실 수 없습니다.

시험장은 물론 대기실에서도 물을 마실 수 없어요.

텀블러를 가져가도 못 들고 들어갑니다.

 

화장실이 조금 열악한 편입니다.

방문 전 다른 건물의 화장실을 활용하시길 추천!


 

오픽 응시료 할인 받는 방법 / 쿠폰 구하는 방법 (2023년 10월)

요즘 OPIc 가격 정말 비싼 거 같습니다 하반기 준비 하시는 분들께는 TOEIC OPIc 토스 중에 하나 이상은 필수적으로 악성종을 가지고 있어야 하기 때문에 반 강제로 보게 되는 어학시험인데요 2023년

slowslow.tistory.com

 

OPIC 오픽 결과 미리 확인하는 방법 (2023.10 기준)

요즘 하반기 공채가 올라오면서 많은 분들이 OPIc 시험을 응시하고 또 결과를 기다리실 것이라고 생각합니다. 3일에서 5일 또는 7일 이상의 결과 발표까지 의 시간 차이 리드타임 있습니다 조금

slowslow.tistory.com


다른 자격증 얘기가 궁금하다면 👇

 

한국사능력검정시험 무료 + 효율적으로 따는 공부방법 (인강 리뷰, 시험 일정, 후기)

한국사 능력 검정 시험을 준비하면서 효율적이면서도 무료로 준비하는 방법은 무엇이 있을까 고민했고, 그 결과를 공유합니다. * 2021 하반기 시험 일정 인강 리뷰 1. 태건에듀 설민석 수능 한국

slowslow.tistory.com

 

오픽 기출문제 블로그, 사이트 링크 모음

오픽 OPIC 공부를 하면서 모았던 기출문제 모음 블로그 링크들 공유합니다. 오픽 공부 자료를 구하시는 분들에게 도움이 되길 바랍니다. ** 언젠가 오픽을 다시 보게 될까 봐 정리해 두는 목적에

slowslow.tistory.com

 

무신사 스토어에서 로맨틱 무브 더비를 구입했습니다.

제품명 : 베이스먼트 더비 R21 M042

정가는 12만 원대 지만,

무신사 쿠폰과 적립금으로 9만 원대에

구입했습니다.

 

구두는 최소한 10만 원 이상 주고 사야지

리얼 레더 - 진짜 가죽 신발을 살 수 있고

최소한의 퀄리티를 만족할 수 있어요.

 

20~30만 원 이상의 돈을 지불하면

더 좋은 구두도 살 수 있었지만

첫 더비, 구두였기 때문에 시험 삼아

가성비로 보이는 로맨틱무브의 제품을

구입했습니다.

 

1

아주 글로시합니다. 엄청 반짝거려요.

마지막 코팅이 힘들게 들어간 것 같습니다.

 

전체적인 쉐입은 가로폭이 조금 넓으면서

약간 둥글둥글한 쉐입이에요.

 

닥터마틴 모노 더비 등이랑 비슷하게

5홀로 구성되어있고 

정장과 캐주얼에 혼용 가능한 적당한 쉐입입니다.

 

 

2

제가 3월 말일쯤 주문했는데

14일쯤 받았습니다.

 

제작 및 발송에 영업일 기준 10일이

소요된다고 하시던데,

 

최소기간이니 급하게 신발이 필요한 분들은

다른 브랜드를 찾아보시는 게 좋을 것 같습니다.

 

 

3

주의할 점이 수제화라는 특성상

주문 후 제작이 진행되어,

반품 환불이 불가능합니다.

 

신발에 문제가 있지 않으면

반품 환불이 불가능해요.

 

다만 초기 사이즈 미스로 교환 신청은 가능한데

사이즈 확인을 위한 착화 시

주름이 생기지 않도록 주의해달라는

공지가 아주 강하게 적혀있어요.

 

반품 환불 설명서와 영수증이 동봉되어있습니다.

 

의미 없는 정가인 168,000원이 적혀있어요.

선물 보내고 으스대기에는 좋을 수 있겠어요.

 

이 부분이 조금 궁금한 게,

직접 발을 측정해서 1:1로 만드는 구두가 아닌 이상

소비자 입장에서는 상품을 수제화라고

느낄 수 있는 포인트들이 없어요.

 

그런데 로맨틱 무브는 

맞춤 신발을 하는 곳은 아니에요.

사이즈와 발볼 넓이 정도를 선택할 수 있어요.

 

수제화라는 이름으로 광고를 하면서,

제품 배송까지 오래 걸린다는 비용도 소비자가 지불하는데,

반품까지 안된다?

 

소비자는 수제화로써 해당 신발을 

구매할 이유가 있을까요?

 

주문 후 제작방식의 장점을 해당 브랜드는 취하고 있지만
소비자한테는 어떤 메리트도 주지 못하고 있다는 점이,
장기적으로 이 전략이 영속성이 있을지 의아해지는 부분이에요.

 

4

디테일을 챙겼다고 생각하는 점이

가죽끈 검정 1

가죽끈 갈색 1

구두 주걱 1

검정 구두 양말 1

 

이 포함되어 배송됩니다.

이 가격에 이 정도 구성품은 

확실히 혜자인 듯해요.

 

더스트 백에 제습제와 함께 꼼꼼하게 동봉되어있어요.

 

디테일 샷

5

위에서 보면 이런 느낌입니다.

구두 자체의 쉐입은 길쭉한 편인데

아웃솔이 라운드 쉐입이기 때문에

둥그런 느낌을 많이 줍니다.

 

발등부터 앞코까지는 좀 짧은 감이 있어요.

 

255 사이즈 기준

이 정도 쉐입입니다. 뒷굽이 꽤 높아요.

 

* 평소 운동화는 260~265를 신고, 컨버스는 260을 신어요.

* 구두는 260을 신으면 잘 맞았는데, 얘는 크게 나와서

* 255로 신었더니 나이스 하게 잘 맞습니다.

 

6

밑창은 안타깝게도 환 공포증 고무창

중간중간 기포가 있는 걸로 보아

밑창 자체도 고가의 제품은 아니 것으로 보여요.

 

7

외굽만 3센티로 꽤 높습니다.

앞굽도 1센티 정도로 체감 키높이는 상당해요.

 

뒤축이 보시면 한쪽에서 반대쪽을 덮는

형태로 되어있는데 이게 꽤 안 예뻐요.

뒤에 박음질도 좀 보이는 편이고요.

 

아쉬웠던 점은

흠집? 자국? 이 엄청 남는다는 겁니다.

맨 오른쪽 사진처럼 신발끈만 묶더라도

어마어마한 생활감이 묻어나요.

 

그리고,

1시간 정도만 신었는데도,

발등 주름이 엄청 생겼어요.

근데 또 그게 크게 굵게 지는 주름이 아니라

자글자글 깨지는 주름이 생깁니다.

 

보통 구두의 가죽이 얇고 저렴한 경우

이런 식의 주름이 많이 지는 걸로 알아요.

 

해당 부분에 대해서는 리뷰나 상세페이지에서

알 수 있는 방법이 없어서 더욱 아쉬웠습니다.

 

얇은 가죽으로 인해 깨지는 주름이 싫으신 분들은

피하시길 권해드려요.

 

📦 상품 보러가기 > 


여름 신발 준비할 때가 되지 않았나요?

 

우포스 대체재 총정리! 우포스맛 쪼리 플립플랍 여름 신발

2019년경부터 조금씩 대중화되던 우포스가 이젠 하나의 주류 신발로 자리 잡았습니다. 비싼 가격대에도 불구하고 여름 감성 신발로 통하면서 청키 한 쉐입과 특유의 말랑한 착용감으로 많은 팬

slowslow.tistory.com

내돈내산 입니다만, 이 포스팅은 쿠팡 파트너스 활동의 일환으로, 이에 따른 일정액의 수수료를 제공받습니다.

.

건축학과 실내건축학과 신입생이시거나 새로운 노트북을 사야 할 것 같아서 노트북과 컴퓨터에 대한 공부의 필요성을 느낀 컴 알못 컴린이를 위해 글을 씁니다. 

 

 

뭘 보고 사야하지? 🤔

CPU..?

노트북의 CPU는 성능을 의미합니다.

자동차의 엔진을 생각하면 쉬워요

 

인텔을 기준으로 설명하면,

 i # - $ @@@ ₩ 

이렇게 쓰여있습니다.

 

예를 들면 i5-9500U, i3-108500가 있죠.

 

여러분이 보셔야 하는 건 딱 세 가집니다.

 

하나.

#에 들어간 숫자가 5, 7, 9 인지

즉, 3보다 큰 홀수여야 합니다.

숫자가 높을수록 성능이 좋습니다.

다만 학생 수준의 건축학과에서 유의미한 차이는 적으니 걱정하지 않아도 됩니다.

 

주의!

i3나 펜티엄, 아톰, 셀러론으로 시작하는 애들은 사면 안된다.

돈 주고 스트레스를 사는 꼴이 된다.

 

둘.

- (하이픈, 바) 다음에 오는 첫 번째 숫자 $가 9, 10, 11 인지.

해당 숫자는 세대를 의미하는데

오래된 것은 사용이 어려울 만큼 성능이

떨어지는 경우가 많아요.

 

그래서 꼭 최신에 가까운 숫자로 사는 게 좋습니다.

지금 21년 기준 11이 최신입니다.

11, 10, 9 정도를 구입하는 걸 추천해요.

 

셋.

₩ 자리에 U가 아닌지.

₩ 자리는 cpu의 성격을 말하는 자리예요.

U는 저전력 cpu, H는 고사양 cpu

이런 식으로 같은 사양이라도 성격을 나눠놓았어요.

 

₩ 자리에 영어가 없더라도 괜찮으니

저전력을 의미하는 U만 피하면 돼요!

다른 건 다 괜찮습니다.

 

RAM

최소한 8GB 이상이어야 하며*

가능하다면 16GB 이상을 추천한다.**

 

* 4GB 램 2개 또는 8GB 1개

** 8GB 램 2개

 

램은 동시에 여러 프로그램을 켜도 무리가 없느냐!

다중작업능력 정도라고 생각하면 편한데요.

 

아주 최소한 8기가,

추천은 16기가

넉하게는 높으면 32기가 정도!

 

SSD/용량

건축학과는 저장할게 정말 많아요.

영상을 다루는 유투버보다 조금 낮다고 해도 될 정도?

 

하지만 많은 경우 구글 클라우드, 외장하드를 사용해요.

작업시간이 많이 필요한 만큼

날아가면 절대 안 되는 자료들이기 때문이에요.

 

따라서 기본 용량은 128GB, 256GB 이상이라면 무관하다고 생각해요.

 

128GB가 아주 조금은 빠듯할 수도 있지만, 

구글 클라우드에 전체 다 올려두는 성격이라면

128GB면 충분해요.

 

물론 그 이하 용량으로 나오는 것들은 사용할 수 없어요.

캐드, 포토샵, 일러스트, 레빗, 스케치업 등등

기본 설치를 마치고 나면 60기가 정도는 그냥

녹아버리기 때문!

 

화면 크기

15인치대 이상이어야 원활한 작업이 가능하다.

13인치, 14인치대는 눈이 빠질 것 같다는 게 뭔지 느낄 수 있다.

 

많이 나오는 크기는 15.6, 15, 16인치가 있다.

이들 중 무엇이든 크게 관계는 없다.

물론 클수록 좋긴 하다.

 

무게

가벼운 게 당연히 좋지만, 그래픽카드와

큰 화면을 갖고 있는 한 가볍기는 어려워요.

 

특히 고사양을 위해서는 열 배출과 여러 가지

이유로 큰 몸체가 필요하거든요.

 

그래서 어느 정도 포기하는 게 좋긴 한데,

정말 안 들고 다닐 거라면 2kg 정도

들고 다닐 거라면, 1.7kg 정도를 추천해요.

 

아 이건 추천이 아니고 맥시멈이에요.

저거보단 가벼워야 한다는 겁니다.

 

그래픽 카드?

그래픽 카드는 정말 이름이 복잡해요

사양 보는 법도 어렵고

그래서 저는 정말 간단하게 

두 가지만 알려드릴게요

 

 

RTX #### 

또는

라데온 RX ##

의 이름을 가진 그래픽카드가 달려있는

노트북을 구입하시면 됩니다!

 

참 쉽죠?

 

가성비와 뭐 와를 따지기 시작하면

너무 복잡해지니 그래픽카드는

이렇게만 정리할게요!

 

발열?

보통은 큰 이슈가 되지 않아요.

그러니 신경 쓰지 않는 걸 추천해요.

 

제가 처음 노트북 알아볼 때

발열에 꽂혔었는데 정말 무의미하더라고요!

 

위 조건들을 만족시키는 노트북을 다나와에서 찾아보면

낮은 가격순
인기순

**상품수가 많지 않아 무게는 제외하고 검색했어요

 

역시 인기순으로 보면 가격대가 100~160만 원을 넘어가고

낮은 가격순으로 보면 80~100만 원대네요.

건축학과 노트북의 가격대는

세월이 흘러도 크게 변화는 없는 듯해요

 

많은 경우 윈도 노트북은 출시 6개월 정도면

중고 가격이 엄청나게 떨어지기 때문에

혹시 관심 있는 노트북이 출시 후 시간이

조금 지난 모델이라면, 

 

컴퓨터를 조금 공부하거나,

잘 아는 친구에게 부탁해

중고거래를 하는 것을 추천해요.

 

친구에게 사례비를 10만 원 준다고 해도

보통 정가 대비 30만 원 이상 떨어지기 때문에

이득이에요!!

 

그 밖의 추천 노트북 찾는 방법

추천 노트북을 찾는 방법은

게이밍 / 디자인과 / 유튜브 편집용 / 편집자 / 건축학과 노트북

와 같은 키워드로 검색해서 찾으시는

대부분의 노트북이 편의에 맞으실 거예요.

 

📦 레노버 보러가기

📦 한성노트북 보러가기
📦 MSI 보러가기

📦 DELL 보러가기


건축학도를 위해서는 아이패드

갤럭시탭 어떤 게 더 나을까요?

 

[연대생피셜] 건축학과 아이패드 vs 갤럭시탭

[연대생피셜] 졸업생이 알려주는 건축학과 아이패드 vs 갤럭시탭 이전 글에서 건축학과에서는 태블릿pc가 정말 필요하다는 걸 알아보았습니다. 오늘은 아이패드와 갤럭시탭 중 어떤 제품을 선택

slowslow.tistory.com

*위 링크는 쿠팡 파트너스 링크입니다. 링크를 통해 구입시 쿠팡 파트너스 활동을 통해 수수료를 지급받습니다.

 

 

.

2019년경부터 조금씩 대중화되던 우포스가 이젠 하나의 주류 신발로 자리 잡았습니다.

비싼 가격대에도 불구하고 여름 감성 신발로 통하면서 청키 한 쉐입과 특유의 말랑한 착용감으로 많은 팬덤을 형성했습니다.

 

가격은 무려 55,000원으로 슬리퍼 치고는 매우 비싼 편에 속합니다.

물론, '신발'이라고 생각하면 저렴한 편에 속하게 되죠.

 

(컨버스가 이제 99,000원인 세상이니까요)

 

우포스로 인해 청키 한 쉐입의 슬리퍼가 많이 유행을 하게 되었는데요. 다만 55,000원이라는 가격대에 저항을 느끼셔서 도전하지 못하시는 분들을 위해서 우포스 대체재를 모아봤습니다.

 

온전히

- 디자인이 유사한지

- 가격이 우포스보다 저렴한지

두 가지를 초점으로 모아봤습니다.

 

 

비슬로우 슈펜

패션 전문 브랜드 비슬로우와 신발 SPA 브랜드 슈펜의 콜라보로

탄생한 리커버리 플랍 슈즈입니다.

 

.

가격대는 20,000원대로 매우 저렴하며

무료배송을 지원합니다.

 

우포스보다 조금은 더 부드러운 쉐입이며

카키, 블랙, 베이지, 화이트 등

다양한 컬러웨이를 전개하고 있습니다.

 

 

슈펜 슈펜 X 비슬로우 리커버리 플랍슈즈 AFDU79S03

https://shoopen.elandmall.com/goods/initGoodsDetail.action?goods_no=2102631143&vir_vend_no=CN003549

shoopen.elandmall.com

 

 

모스포츠

MO Flipflop

모스포츠 사의 플립플랍입니다.

흰색, 네이비, 네온 그린 등 활기찬 비비드 클러를

중심으로 출시되고 있습니다.

 

가격은 39,000원대입니다.

 

문제는 모스포츠에서 사용하는 번개모양 로고와

MO로고가 양각으로 신발에 새겨져 있어서

 

제거할 수 없다는 점입니다.

칼로 긁어 팔 수는 있지만 티가 많이 나겠죠.

 

그래서 혹시 브랜드 로고가 신경 쓰이시는 분들이라면

아래의 다른 대체재들을 추천드립니다.

 

 

MO Flipflop wht (리커버리 슬리퍼)

MO Slipper는 피로한 신체의 회복을 도와주는 리커버리 슬리퍼입니다. 부드러운 MO Cushion과 인체공학 설계를 통하여 가벼운 발걸음과 잊지 못할 휴식을 제공합니다. 제품기능 상세설명 (특허출원:

www.29cm.co.kr

 

 

돔바

돔바는 유명 디자인 브랜드들의 맛을 느끼게 하기 위해

비슷한 디자인을 저렴한 가격으로 출시하는 브랜드입니다.

 

컨버스, 반스, 뮬 등 우리가 익히 아는 그 브랜드들의

디자인과 상당히 유사한 제품들을 많이 출시해왔고

슈펜과 어느 정도 비슷한 브랜드입니다.

 

MOSS MO-3205

그중에서도 우포스 디자인의 쪼리 라인이 있습니다.

역시나 우포스의 디자인 그대로 출시되었습니다.

가격은 25,000원대로 우포스의 절반 정도죠.

 

문제는 저 로고인데, 로고를 제거하는 방법은

아래의 돔바 클로그 포스팅에 적어뒀으니 참조 바랍니다!

 

[신발 추천] 돔바 클로그 후기 언박싱 : 예쁜 사무실 슬리퍼, 회사 실내화

돔바 클로그 후기 :: 예쁜 사무실 슬리퍼, 회사 실내화 사이즈 추천 😍 사무실 슬리퍼 추천글에서 이어지는 글입니다 흔하지 않고 편하고 예쁜 사무실 슬리퍼 추천 :: 20대 30대 감성적이고 예쁜

slowslow.tistory.com

 

토앤토 제로비티

토앤토 제로비티 플립플

앞선 신발들과는 달리 상당히 귀엽고

동글동글한 쉐입입니다.

약간 토끼 같죠

 

컬러웨이도 그레이, 네이비 등

감성적인 컬러 위주로 나오고 있고요.

 

우포스만큼 굉장히 착용감이 좋다는 평이 많으며

한쪽에 달려있는 작은 Toe&Toe 탭이 아주 귀엽습니다.

꽤나 포인트가 됩니다.

 

가격은 38,000원대이며

인스타그램 인플루언서인 dngn.co 디지 앤지에도

한 차례 소개된 적이 있을 만큼

 

좋은 물건을 좋아하는 사람들이

애용하는 브랜드이고 제품입니다.

 

 

 

.

중고나라는 사기 나라다?

중고나라 사기 피해 중고나라 벽돌 거래 등등
한 번쯤 들어본 적 있지 않은가?

국내 중고거래에 대한 최소한의 룰이나 인정성이

보장되기 전부터 중고 거래시장을 활성화시킨
중고나라는 중고거래의 위험성
중고나라의 위험성으로 흡수해왔다

시장을 빠르게 성장시키고 선점하여
카페에서 지금은 하나의 회사로 성장했다

중고나라 로고


하지만 후발주자인 번개장터, 당근 마켓,
헬로마켓 등과 달리
초기 중고나라는 단순 중개사이트로

안전을 위한 중고거래의 가이드라인을
제공해주지 못했고 사용자들 또한 미숙해
수많은 사기거래가 발생했고

중고거래 = 중고나라라는 인식이 있기에
사기 문제는 모두 중고나라라는 플랫폼이 가진 문제점으로
귀결되어 중고나라의 브랜딩에 악영향을 미쳤다.

 

그래서 중고나라는 유독 타 플랫폼 대비
사기라는 단어와 연관이 강한 편이다.

 

> 번개장터, 당근 마켓, 헬로마켓 등 대비

중고나라는 사기라는 단화가 쉽게 연상된다

그렇지 않은가?

 

그런데 며칠 전 중고나라에 들어가 보니
그들의 커뮤니케이션을 보고 의아한 대목이 있었다

.

중고나라 카페의 홈페이지 화면이다. 

가운데에 자세히 보면

필독 [사기 주의보!] 댓글 외부 메신저 ~

라는 필독 공지사항이 있다.

 

이를 클릭하면,

.

사기꾼을 벌할 것 같은 둔기를 든

귀여운 캐릭터와 함께 

최근의 사기 사례를 공지해

 

나름 사기법의 최신 동향을 살피고

주의하도록 하는 공지글인 듯했다.

 

어떤 사례들이 있었는지

구체적으로 언급되고 있었다.

 

.

심지어 거의 매주 연제 되고 있었고

조회수도 2~3만 회를 넘어갔다.

 

매력적인 소재만큼 파급력이 있는 듯하다.

 

.

이런 경고문구와 함께 포스팅이 마무리되었다.

 

중고나라의 해당 포스팅 기획은

다음과 같았을 것이다.

.

중고나라 이용자들에게 매력인 주제인

사기예방법에 대해서 중고나라가 

카페 회원들에게 직접 공지한다.

 

1. 사기를 피할 수 있도록 정보를 전달하여

공익적인 메리트를 제공한다.

 

2. 동시에, 해당 사기를 예방할 수 있는

중고나라 공식 앱을 대안으로 제시하면서

중고나라 앱 유저를 확보한다.

 

소비자 보호와 안전한 중고거래문화

안착을 위한 목적이라는 도덕적인 명분과

 

중고나라 어플로 사용자를 이동시키는

실리적인 이유를 모두 챙길 수 있는

기가 막히고 코가 막힌 마케팅이라고

생각했을 것이다.

 

하지만 나는 과연 중고나라에 긍정적일까?라는 생각이 들었다.

모든 선택에는 장점과 단점이 있다.

장점이 짙다면 반대로 단점의 그늘도

짙을 가능성이 높다.

 

위 마케팅의 단점은 다음과 같다.

중고나라 공식적으로 필독!이라는 강조와 함께

홈페이지 첫 화면에 사기 주의 보라는 공지를 노출시키는 것은 


1 중고나라와 사기라는 단어의 연관성을 짙게 한다

 

2 중고나라는 결국 사기를 방지하지 못한다는 무책임한 이미지가 강화


3 사기 주의 보라는 부정적 언어 대신 안전한 거래를 위한 예방법 과같은 긍정성을 자극하는 단어였다면 어땠을까

 

4 꼭 중고나라 메인에 걸려야 했을까? 들어오자마자 상품을 검색하기도 전에 "사기당할 수 있다"라는 생각을 갖게 하면저항이 생긴다. 고객 이탈률을 높일 수 있다.

 

혹은 소비자들이 올리는 중고거래 게시물 최 하단에

광고 배너가 들어가는 것처럼

작은 공지사항으로 연동시켰다면 더 부드럽지 않았을까?

라는 생각이 든다.

 

 

쿠팡의 로켓 배송은 어떤 마케팅일까요? 👇

 

[쿠팡전략] 로켓배송 전략 분석. 무료 반품이 강점인 이유 (2) 성공 이유

[쿠팡전략] 로켓배송 마케팅 전략분석. 무료배송이 아닌 무료반품이 강점인 이유 앞선 글 (1)의 분석 내용에서 이어지는 글입니다. 👇 읽고 오시면 이해가 편해요! [쿠팡전략] 로켓배송 전략 분

slowslow.tistory.com

_

템플릿은 글 맨 밑에 있어요 👇

 

1박2일 2박3일 단기여행을 위한 준비물 리스트

 

저는 짧은 여행을 적은 짐으로 다니는 것을 좋아하는 편입니다.

다닐 때마다 짐에 대해 고민하는 것이 귀찮아서,

이번에 단기 여행을 위한 최소한의 준비물 리스트를 준비했습니다.

 

저와 비슷한 니즈가 있으신 분들에게 도움이 되길 바랍니다.

 

 

> 편의를 위해 다양한 제공 방식을 마련했습니다.

아래의 JPEG를 다운로드 해 사용하실 수도 있고,

Notion 템플릿을 복제해서 사용하실 수도 있고,

PDF를 다운로드 해 사용하실 수도 있습니다.

 

 

> 겸용으로 활용 가능한 것들에 대한 정보는 아래의 글로 따로 남겼습니다. 

jpeg

비누 활용

세면도구 중 클렌징 폼, 샴푸, 바디워시는 

비누를 통해 비누(클렌징 폼, 바디워시 겸용), 샴푸 혹은

비누(클렌징 폼, 바디워시 샴푸 겸용)로

사용자에 따라 간소화가 가능합니다.

 

수건

수건이 정말 짐을 많이 차지하는데요

여행지가 다이소와 같은 대형마트가 있는

도심-시내라면, 여행지에 도착해서

수건을 구입하시는 것을 추천드립니다.

 

오고 가는 짐에 부피가 너무 크게 차지해요

 

멀티 충전기

노트북, 아이패드 등을 가져가는 경우

동시에 충전이 필요한 경우도 있고

단자와 케이블이 각각 다른 경우도 있죠

여러 충전기를 가져가기보다

 

멀티 충전기 하나 구비하시는 것을 추천합니다.

** 멀티 충전기 관련 글 👇

 

[총정리] 맥북 정전기 접지하는 모든 방법 (돼지코 220V)

[총정리] 맥북 정전기 접지하는 모든 방법 찌릿찌릿하고 간질간질한 느낌은 맥북 사용자들의 공통된 고충입니다. 맥북의 찌릿찌릿한 미세전류는 접지 플러그가 동봉되지 않기 때문에 발생

slowslow.tistory.com

 

기초 화장품

여행용 키트로 가져갈 수 있는 샘플을

가져가는 것도 좋은 방법이지만,

개인적으로 추천하는 것은

마스크팩을 여러 개 가져가는 것입니다.

 

기름기와 수분기가 충분한

마스크팩을 사용하면, 간단한 스킨케어를

충분히 커버할 수 있거든요

 

부피는 조금 더 나가겠지만

샘플이 없다면, 혹은 귀찮다면

추천드리는 방법입니다.

 

지퍼팩

사용한 수건, 젖은 옷들은

돌아오는 길에 굉장히 골칫덩어리기 때문에

지퍼백(지퍼팩)을 하나 가져가시는걸

추천합니다.

 

혹은 조금 큰 비닐봉지 한 장 정도

가지고 가면 요기 나게 쓰입니다.

 

물병

스테인리스로 된 텀블러는

깨질 염려도 없고 좋지만,

무게가 많이 나가기 때문에

짐 간소화를 위해서는

트라이탄 소재로 된 플라스틱 물병을

추천드립니다. 

 

👇 템플릿 링크 주소👇

 

짧은 여행을 위한 준비물

A new tool for teams & individuals that blends everyday work apps into one.

jolly-english-7f9.notion.site

Notion 리스트입니다.

 

단기 여행 준비물.pdf
0.27MB

준비물 리스트 pdf입니다.

 

 

오늘 제가 남긴 템플릿이 도움이 되길 바랍니다.

문의사항 댓글로 남겨주세요!

 

다른 노션 템플릿도 구경하기

 

Notion for you

템플릿을 넘어 노션으로 서비스 구현까지 노션으로 할 수 있는 모든 것을 담습니다.

jolly-english-7f9.notion.site

 

티스토리 운영 3개월 동안 애드센스 신청 3회 시도했고, 그 끝에 합격했습니다.

애드 고시 합격에 많은 썰들이 존재하는데, 

저의 경우 어떻게 도전했고 어떻게 합격했는지 알려드리고자

글을 작성하게 되었습니다.

 

 

맨 아래 요약이 있습니다.

신청 1회 차 => 탈락

신청 축하 메일

처음 신청했을 때 애드센스에 연동된 구글 메일로 이런 메일을 받습니다. 

이걸 보고 벌써 합격인가? 했는데, 그게 아니고 그냥 신청해줘서 고맙다는 메일이었습니다.

다른 분들을 설레지 않기를 바라요.

 

신청 당시 상황

신청 시점 : 블로그 개설 후 3일 후 

글 수 : 10개 내외

카테고리 : 3개 내외

당시 글들 👇

[신촌 아크 앤 북] 커피와 책이 있는 서점 : 신촌 갈만한 곳, 데이트

[애플 전략] 아이폰 12 디자인 컬러가 바뀐 이유? with 아이폰 SE

[졸업생이 알려주는] 연세대 실내건축학과 건축학과 차이, 수시 정시 편입 학과 정보

 

저는 원래 개인 블로그를 운영한 경험이 있습니다.

수익형 블로그는 아니었고, 글 쓰는 데에 더 원동력을 얻기 위해

광고수익을 얻을 수 있는 티스토리로 글을 옮겨 담았습니다.

 

문제는, 글을 그냥 복사 붙여 넣기 했다는 것입니다.

이런 경우 아래처럼 코드가 굉장히 더럽게 복잡하게 남습니다.

 

다른 블로그에서 붙여 넣기 한 글

<p data-app="{&quot;type&quot;:&quot;text&quot;,&quot;data&quot;:[{&quot;type&quot;:&quot;text&quot;,&quot;text&quot;:&quot;1. 기능적 가치 - 가장 기본적인 기능성의 가치를 말한다. 예를 들어 자동차의 기능적 가치는 이동성일 것이다.&quot;}]}" data-ke-size="size16"><span style="font-family: 'Noto Sans Demilight', 'Noto Sans KR'; color: #006dd7;"><b>1. 기능적 가치</b></span></p>

직접 작성한 글

<h4 data-ke-size="size20"><span style="font-family: 'Noto Sans Demilight', 'Noto Sans KR';"><b>왜 최근 구독 결제 적용 제품이 많아졌을까요?</b></span></h4>

이렇게 보면, 다른 블로그에서 붙여 넣기 한 글을 아주 html code가 아주 더럽게 작성된다는 것을 알 수 있는데요. 이 부분에 대해서 코드가 더러우니, 검색엔진 입장에서 포스트를 로드하는데 오래 걸려 점수가 안 좋아진다? 이런 설들이 있습니다.

 

그런데 저는 거의 10개가 넘는 글을 이동해오다 보니 일일이 수정할 수 없을 만큼 많은 글들이 위처럼 작성되어있었어요.

 

하지만 처음 애드 고시에서 떨어진 이유가 이 때문일 가능성은 낮습니다. 왜냐면 저는 글 1개를 제외하고는 수정하지 않았기 때문이에요. 

이렇게 10개가 쓰여있었음에도 나중에 합격했으니, 해당 부분이 합격 불합격에 큰 의미는 없는 것 같습니다.

 

 

탈락 원인

당시 탈락 이유로는 "유의미한 콘텐츠의 부재" 이런 식으로 쓰여있었습니다.

시험 삼아 신청해본 것이기도 했고, 정보성이 충분한 글들이었기 때문에 "글 수의 부족"으로 해석했습니다.

 


신청 2회 차 => 탈락

이전보다 글을 10개 이상 더 썼고, 붙여 넣기가 아닌 새로 작성한 포스팅들이었어요.

잘 몰랐던 검색엔진 등록, 최적화, 스킨 등등도 하나씩 배워가면서 적용했습니다.

하지만 역시나 탈락했습니다.

 

신청 당시 상황

신청 시점 : 블로그 개설 후 보름 이후 

글 수 : 20개 이상

카테고리 : 4개 내외

당시 글들 👇

[졸업생이 알려주는] 건축학과 아이패드 필요한가? 아이패드 종류 추천

[쿠팡 전략] 로켓 배송 전략 분석. 무료배송 무료반품 (1) 성공 요인

[쿠팡전략] 로켓배송 전략 분석. 무료 반품이 강점인 이유 (2) 성공 이유

 

탈락 원인

당시 탈락 이유로는 "동일 제목 콘텐츠의 반복(?)" 이런 식으로 쓰여있었습니다.

포스팅 숫자를 늘리고, 포스팅당 글자 수를 1000~1500자로 유지하기 위해서

길어지는 포스팅들을 두 가지 세 가지로 분리시켜 업로드했었습니다.

> 여전히 2개로 나뉜 

[마케팅 전략] 평생 회원권을 비추천하는 이유. 구독 결제의 단점

[마케팅 전략] 평생 회원권을 말리는 이유. 구독 결제의 단점 2 - 아마존 프라임, 넷플릭스

 

[졸업생이 알려주는] 연세대 실내건축학과 커리큘럼 정리 (1)

[졸업생이 알려주는] 연세대 실내건축학과 커리큘럼 정리 (2)

 

> 2개였다가 하나로 수정한 글

대학생 때 아르바이트를 해봐야 하는 8가지 이유 장점

 

이런 부분까지 구글이 신경 쓰는지 몰랐어요 당시에는

그래서 '아르바이트'관련 글은 상/하편으로 나뉜 글을 하나로 줄였습니다.

 

하지만, 역시나 분리해서 쓴 글들이 많았기 때문에

모든 글들을 수정하기도, 그렇다고 새로 작성해서 하나로 합치기도

아주 귀찮고 힘든 일이었습니다. 그래서 합치지 않았습니다.

 

다만, 교훈을 몇 가지 얻었습니다.

"다음부터 분리해서 쓰지 말아야겠다!"

"비슷한 내용을 쓰더라도 1,2,3 넘버링하지 말고 그냥 다른 글처럼 써야겠다"

 

그래서 이후에도 1번의 문제였던 글 수의 부족을 채우기 위해 포스팅을 지속적이고 많이 했고,

동시에 한 가지 주제로 글을 분리해서 쓰지 않는 것을 목표로 하면서 계속 블로그를 운영했습니다.

 


신청 3회 차 => 승인

그렇게 저는 3회 차만에 애드 고시에 합격하게 되었습니다.

 

너무 흥분한 나머지 합격 사진을 남겨놓지 않아

지금의 애드센스 홈 화면을 증거물로 남깁니다!

 

 

신청 당시 상황

신청 시점 : 블로그 개설 후 30일 이후 

글 수 : 30개 이상

카테고리 : 4개 내외

당시 글들 👇

[아이패드] 정품 케이스 장점 단점 (스마트 폴리오 사용 후기 수명 가격)

[템플릿] 기숙사 준비물 리스트 남자 (노션 템플릿 공유)

 

 

2차 탈락 이후로는 블로그 운영에 소홀했습니다.

글을 쓰다 말다 반복했고, 일주일에 한 개 쓰기도 했습니다.

그래도 하나 두 개씩 하고자 하는 얘기들을 담아가다 보니

글의 수는 꽤 쌓였던 것으로 기억합니다.

 

일간 조회수는 평균 40~50 정도를 횡보했습니다.

 

아무래도 애드센스도 최소한의 운영조건만 맞춘다면,

글의 개수, 블로그 운영의 지속성을 중요하게 평가하는 것 같습니다.

 

 

 

대표 카테고리

 👇

제가 애드센스 합격까지

가장 주력으로 운영했던 세 가지 카테고리입니다.

 

 

요약

  • 쿠팡 파트너스 안 올림
  • 카카오 애드 핏 안 올림
  • 트위터 연동 사용함
  • 기존 블로그에서 글 복붙함 10개 정도
  • 카테고리는 3개 정도
    • 마케팅 (마케팅 인사이트)
    • IT 전자기기 (물건 이야기)
    • 공간 방문기 (공간과 기억)
  • 합격 당시 글 개수는 30개 이상
  • 합격 당시 블로그 시작 후 30일 이후 시점
  • 티스토리 포럼 활동을 했지만, 조회수 10 정도로 미약
  • 포스트당 글자 수는 거의 1000자는 가뿐히 넘김
  • 포스트당 이미지는 평균 3개 이상 사용했음
  • 본인 블로그가 아닌, 다른 주소는 링크하지 않음
  • 매 신청 후 보통 10~14일 내로 결과가 나옴
  • 신청 결과가 별도 메일로 오지 않고 에드센스 홈페이지에서 확인함
  • 네이버 서치 어드바이저, 빙, 줌 등 모든 검색엔진 등록함

 

부족한 경험이고 글이지만 여러분에게 도움이 되었기를 바랍니다.

궁금하신 점 댓글 남겨주시면 답변드리겠습니다 :-)

 


블로그 운영자가 놓치기 쉬운 티스토리 오류 해결법👇

 

[해결법] 티스토리 블로그 카테고리 오류 글 목록 안보일 때

티스토리 카테고리 오류 글 목록 (목록 구성 요소) 안 보일 때 해결방법 얼마 전 문제가 있었던 제 티스토리 글 목록입니다. 카테고리에서 [물건 이야기/IT 전자기기]를 눌렀는데 아무 글이 보이

slowslow.tistory.com

 

삼성역 위워크에서 즐거운 회사생활을 했습니다.

하지만, 위워크라는 이미지에 가려서인지

공유 오피스에 대한 로망이 컸던 것인지

느껴지는 아쉬운 점들이 종종 있었습니다. 

 

삼성역 위워크에서 스타트업을 시작하고자 하는 분들을 위해서 

작게나마 도움이 되고자 이렇게 제가 느낀 아쉬운 점들을 남겨봅니다.

 

위워크 선택 전 알아야할 가이드와 같은 글입니다.

 

 

엘리베이터가 세개다

저층 / 고층 / 전층

나름의 효율화를 위해 저층 / 고층/ 전층을 구분해 놓았겠지만

사실 이게 유명무실할 만큼 엘리베이터 대기시간이 깁니다.

 

엘리베이터 속도가 빠른 것도 아닌데, 

사무실을 이용하는 사람들과 회사들은 많은데,

그에 비해 엘리베이터가 부족해 오래 기다려야 하는 일이 자주 있습니다.

 

길면 십분 넘게도 엘리베이터 실에서 기다려야 했습니다.

 

물론, 엘리베이터 실이 아닌 계단실 쪽으로 가면 한나가 더 있지만

아는 사람들은 또 몰리다 보니 역시 막히는 건 매한가지입니다.

 

그리고 이 엘리베이터는 위워크 삼성역이 가지고 있는

다른 대부분의 문제점의 원인이 됩니다.

 

 

사무실에 해가 잘 들지 않는다

물론 대부분의 강남 서초 역삼 선릉 삼성의 회사들의 공통점일 것입니다.

주변 건물들 배치 때문이지만 어찌 되었든

해가 잘 들지 않는다는 것은 단점이 분명하다고 생각합니다.

 

아침이어도 점심이어도 저녁이어도 우중충해 시간이 지나는지 잘 느끼지 못하고

해가 안 드니까 활기차다거나 그런 생기 있는 기분을 느끼는 게 어려운 것도 있습니다.

문제는 해를 그럼 쬐러 가기 위해서 나가기라도 해야 할 텐데

해를 쬐러 나가려면 엘리베이터를 타고 내려갔다가 다시 올라와야 합니다.

 

하지만 아까 말했듯 엘리베이터가 막히는 경우가 많기 때문에

잠깐의 마실이 아니라 여행이 되기 십상이었습니다.

 

 

환기가 어렵다

통창으로 코팅된 유리가 거의 대부분의 입면을 덮고 있고

통창 밑에 작게 10cm 정도 되는 두께로 환기창이 있긴 합니다.

 

구조적 특성상 빠른 환기가 어렵습니다.

 

특히 맞바람이 순환될 수 있는 구조가 아니기 때문에,

환기창으로만 공기가 들어왔다 나가는 자연환기(풍력 환기)가 되어야 하는데,

 

자연환기가 정상적으로 되려면 창이 충분히 커야 합니다.

하지만 창이 작아서 실질적인 환기는 어렵다고 보는 것이 맞을 것 같습니다.

 

 

쉴 공간이 적다

멋진 라운지와 화려한 로비의 이미지를 강조하는 위워크 특성상

쉴 공간이 적다는 것은 의외의 요소였는데요.

 

절대적 공간 규모의 부족이라기보다는,

실질적인 휴식공간의 부족입니다.

 

층마다 작은 라운지-로비가 엘리베이터 실 앞에 있습니다.

건축 설계상으로 접근성과 공평성, 웻존을 통일하려는 이유였을 텐데요.

 

실제 사용해보면 이게 생각보다 휴식하기에는

좋지 않다는 것을 느끼게 됩니다.

 

엘리베이터 실 앞에 있다는 것은

계속 사람들이 오가는 '통로'에 라운지가 있다는 뜻입니다.

 

그 말은 개인적 휴식에서 꼭 필요한 private & cozy

느낌을 주기 어렵다는 뜻이죠.

 

도심 한복판에 소파를 두고 앉아있는 느낌이었습니다.

 

또, 모르는 사람들은 물론이고,

같은 회사 사람들이 계속 지나다녀 눈치가 보이기도 합니다.

 

소위 말하는 짱 박혀있을 공간

이게 없다는 뜻입니다.

 

눈치 보지 않고 쉴만한 공간이 위워크 삼성역점에서는

찾기 어려운 공간이었습니다.

 

 

그렇다면, 지하 라운지나 건물 밖으로 나간다면?

 

저 또한 이렇게 생각했습니다만, 지하 라운지도 굉장히 퍼블릭하게

모든 가구와 집기류들이 배치되어있습니다. 

 

어디에도 숨어있거나 짱 박혀 있을 공간은 없어요.

 

또한 앞에서 말했던 엘리베이터가 느린 문제로

지하에 오가는 것도 꽤 귀찮은 일이고,

당연히 건물 밖으로 마실 가는 건 더 큰 귀찮은 일이 되죠.

 


물론 위워크 삼성역점이 단점만 있는 것은 아니었습니다.

알려진 대로 좋은 점도 많았고, 

의외의 감동포인트들도 있었죠.

 

다음에는 위워크 삼성역에서 좋았던 점에 대해 다뤄보겠습니다.

 

 

또 다른 생각이 궁금하다면👇

 

[마케팅분석] 유재석의 차 포르쉐와 신뢰의 관계 : 신뢰 믿음을 얻는 법

[마케팅 분석] 유재석의 차 포르셰와 신뢰의 관계 얼마 전 유재석 씨가 이영지 씨와 함께 진행하는 컴백홈 TV에서 포르셰로 차를 바꾼 사실에 대해서 언급해 화제입니다. 국산차량을 해용하

slowslow.tistory.com

 

.

최근에 맥북 M1 키스킨을 샀습니다.

쿠팡에서 로켓 와우로 4000원 정도에 구입했습니다.

 

사실 키스킨은 노트북 수명에 악영향을 미칠 수 있는 요소로서 사지 말아야 할 액세서리 중에 하나입니다. 

 

오늘은 노트북에 키스킨이 안 좋은 이유와 제가 구입한 M1 맥북 용 키스킨의 단점에 대해서 얘기해보려고 합니다.

 

 

사지 말아야 할 다른 액세서리들이 더 궁금하다면

이 글을 참조해주세요

 

구매인증!

키스킨이 노트북에 안 좋은 이유

노트북은 얆다는 특징을 갖고 있습니다.

일반 데스크탑 pc와는 다르게 아주 얇은 공간에 오밀조밀 기기들이 모여있죠.

 

따라서 데스크탑과 달리 열이 나갈 수 있는 공간이 많지 않습니다.

그래서 노트북에 바람을 빼는 팬이 달려있고 배기구나 흡기구가 있는 경우도 이 때문입니다.

 

하지만, 대부분의 노트북은 배기구뿐 아니라, 키보드로도 열이 배출됩니다.

노트북의 키보드 바로 밑에 보통 cpu를 비롯한 열이 많이 나는 장치들이 있습니다.

때문에 키보드에 키캡 사이사이사이 있는 구멍들로 열이 방출되는 것이죠.

 

키스킨을 사용하게 되면 키캡 사이의 구멍들을 막게 되고, 이는 열 배출 방해로 이어집니다.

 

열이 배출되지 못하면? 노트북 내부에 열이 고이게 되고 점점 열이 올라가다 보면,

컴퓨터가 제 성능을 내지 못하고 열을 줄이기 위해서 의도적으로 성능을 낮춥니다.

이를 쓰로틀링 현상이라고 합니다.

 

문제는 이 현상이 반복적으로 일어나면, 노트북 자체의 성능 저하가 발생한다는 것입니다.

 

논리 비약이 심하다고 생각할 수 있지만, 

노트북 키스킨 사용 -> 노트북 성능 저하

는 꽤 합리적인 명제입니다.

 

 

그럼 키스킨을 왜 샀냐?

결국 소음 때문에 샀습니다.

 

스터디 카페, 독서실, 도서관 등 조용해야 하는 공간에서 키보드를 쓸 일이 언젠가는 꼭 있습니다.

종종은 아니더라도요.

 

그때에 주변에 피해를 줄까 봐 키보드를 조용조용 치는 것은 오히려 생산성 저하가 크죠.

스터디 카페, 독서실, 도서관을 방문한 목적이 사라집니다.

 

특히 맥북 가위식 키보드는 타건감은 좋지만, 소리가 매우 크기 때문에 

주변에 피해를 줄 가능성이 큽니다.

 

이런 상황에서만! 사용하기 위해서 키스킨을 구입했습니다.

위의 말씀드린 성능 저하로 이어지지 않게 하려면,

저처럼 딱 필요한 순간에만 사용하시면 됩니다!

 

구입 후 조금 써봤는데 생각보다 문제점이 많습니다.

그래서 이 글이 시작됐습니다.

 

 

# 키스킨 단점 3가지

타건감이 매우 구리다

개인적으로 맥북 M1의 타건감에 매우 만족하는 편입니다. 찰캉찰캉한 느낌이 좋아요.

그런데 키스킨을 끼니까 아무래도 키감 자체가 끈적끈적해집니다.

 

예전에 M1이 아닌 삼성, LG, HP와 같은 윈도 노트북들은 키스킨을 사용해도

크게 불편감이 있지 않았는데요.

 

맥북 M1의 가위식 키보드는 실리콘에 쥐약인 것 같습니다.

정말 키감은 완전히 파괴됩니다.

 

오타율이 올라간다

위에 말씀드린 내용과 이어집니다.

실리콘이 덮여있기 때문에 예를 들어 ㄹ키를 누를 때 주변의 ㅎ,ㅇ,ㅍ,ㄱ 키가 모두 조금씩 눌리게 됩니다.

이게 입력으로 이어지지는 않지만,

 

타건을 빠르게 하다 보면 뭔가 키가 마음대로 눌리지 않는다는 먹먹한 느낌이 듭니다.

이 때문에 정말 오타율이 많이 늘었습니다.

 

답답해서 사용하기 어려울 정도입니다.

 

디자인을 헤친다

저는 맥북의 디자인에 만족감을 느낍니다. 많이요.

그래서 키보드도 한글이 아닌 영문자판으로 구입했습니다.

 

하지만, 키스킨을 씌우는 순간 뭔가 애매하고 못생긴 키보드가 됩니다.

 

개인적인 영역일 수 있겠지만, 액세서리를 사용하는 순간

순정의 멋이 사라지는 것은 어쩔 수 없는 것 같습니다.

 

꼭 써야 한다면 투명이나, 원래 키보드 색과 동일한 검정을 추천드립니다.

 

 

 

갑작스러운 키스킨 색깔 추천

  • 투명은 씌우는 것 자체는 티가 나지만, 헤져도 프린팅이 벗겨지지 않기 때문에 오래 사용한 티가 안 납니다.
  • 검정은 사용을 오래 하면 프린팅이 벗겨져 키스킨을 낀 것이 티가 나지만, 그전까지는 키스킨을 낀 것 자체가 티가 많이 안 납니다.
  • 그 밖의 컬러는 모두 티도 많이 나고, 오래 쓰면 벗겨지고 장점이 딱히 있진 않습니다!

👉 개인적으로 검정 or 투명을 추천합니다.

 

 

 

결론

꼭 필요한 상황에 있는 게 아니라면, 키스킨을 사용하지 않는 것이 좋다.

위에 말한 상황에 놓일 가능성이 없다면 키스킨은 필요가 없다 안 사도 된다.

 

👇

 

 

[연세대졸업생] 건축학과 아이패드 프로 필요한가? 건축학과 어플 추천 !

건축학과 아이패드 프로 필요한가? 모델별 필요 장단점, 어플 추천 건축학과 진학을 예정이신 분들, 신입생이신 분들 중에 건축학과와 아이패드 프로를 구입을 고려하시는 분들이 많을 거라고

slowslow.tistory.com

 

건축학과 아이패드 프로 필요한가? 모델별 필요 장단점, 어플 추천

건축학과 진학을 예정이신 분들, 신입생이신 분들 중에 건축학과와 아이패드 프로를 구입을 고려하시는 분들이 많을 거라고 생각해요. 아무래도 디자인학과 특성상 사용하시는 분들도 많아서 나도 사야 하나?라는 자극도 많이 받으실 거예요. 

 

오늘은 건축학과면 꼭 아이패드 프로를 사야 하는가?

아니라면, 다른 모델은 어떤 것을 사야 하는가?

라는 주제에 대해 분석해봤습니다.

 

 

결론부터!

우선 건축학과 실내건축학 과시라면 필수는 절대로 아니나, 아이패드 자체는 정말 권장해드립니다! 

 

관련해서 이전에 남겨놓은 글이 있으니 필요하신 분 참조해주시고요 👇

 

[졸업생이알려주는] 건축학과 아이패드 필요한가? 아이패드 종류 추천

[졸업생이 알려주는] 실내건축학과 건축학과 아이패드 필요한가? 아이패드 프로, 아이패드 에어 많은 분들이 궁금해하시는 실내건축학과, 건축학과에서 아이패드가 꼭 필요한가? 에 대해서 정

slowslow.tistory.com

 

위 글을 요약하자면  👇

꼭 아이패드일 필요는 없지만, 휴대가 용이한 노트북이나 태블릿은 있으면 좋다! 

왜? 건축학과는 무겁고 큰 노트북을 쓸 수밖에 없어서 휴대성이 너무 떨어지니까!

휴대성을 보완해줄 무언가가 있으면 좋다! 

이렇게 되고, 꼭 아이패드일 필요는 없듯이 꼭 아이패드 프로일 필요도 없습니다.

 

그렇다면, 아이패드 프로 말고도 어떤 아이패드까지는 구입해도 괜찮은지!

 

 

건축학과 아이패드 사용 어플

실내건축학과 - 건축학과 스튜디오 수업을 들으면서 저와 친구들이 사용했던 애플리케이션을 정리해보겠습니다.

 

차례대로 Concept, GoodNote5, 프로 크리에이트 procreate입니다.

 

✔️콘셉트는

한컴으로 유명한 한글과 컴퓨터에서 만든 어플로 말 그대로 컨셉추얼 한 그림이나 아이디어 스케치를 하기 좋습니다. 대지의 확대와 축소가 매우 용이하고 대지가 사실상 무한대로 커지도록 설정되어 있어서 마인드맵을 그리기에도 유용합니다.

 

기본적으로 무료고 유료버전 결제가 가능하지만 없이도 충분히 사용 가능합니다.

 

 

✔️굿 노트5는

아이패드 + 애플 펜슬이 있으신 분들이 라면 모두 잘 아실 거라고 생각해요. 기본적으로는 필기 어플이지만, 간략한 스케치는 가능하고 무엇보다 공동 작업 기능이 있어서 비대면으로 팀원 간의 비주얼로 소통하기에 편합니다. 

 

또한 건축 관련 자료나 ebook 논문 자료 등을 읽기에 아주 좋습니다.

⚠️한 번에 두 페이지 보기 기능을 지원하지 않기 때문에 논문을 본격적으로 보실 분들이라면 플렉슬Flexcil을 추천드립니다

 

 

✔️프로 크리에이트는

미대생 건축학과에게 없어서는 안 될 어플이죠. 프로 크리에이트가 대중화되기 전에는 Adobe sketch, Morpholio Trace 등 다양한 드로잉 앱들이 있었지만 프로 크리에이트가 모든 시장을 점령 습니다.

 

10,000원이 넘는 가격은 다소 비싸다고 생각할 수도 있으나, 건축학과 미대생들은 아이패드를 사면 애플 펜슬을 사듯이, 애플 펜슬을 샀다면 당연히 사게 되는? 자연스럽게 사게 되는 어플입니다.

 

아이디어 스케치, 조닝 표현, 디자인 프로세스, 다자인 스케치, 간단한 보정, 평면도 위의 스페이스 프로그램 표현 등 사용할 수 있는 범위가 무궁무진해요. 있고 없고의 차이가 말할 수 없을 만큼 크기 때문에, 아이패드를 그냥 1만 원 정도 더 비싸게 샀다!라고 행복 회로 돌리시면 마음이 좀 편합니다.

 

 

⚠️

그밖에 Autodesk나, Sketch up, Shapr3D와 같은 건축 전용 애플리케이션도 많이 출시되었지만 실제적으로 건축학과 학생들에게 호응을 얻지 못해 쓰는 친구를 한 명도 못 봤습니다. 물론 경우에 따라 포토샵과 라이트룸을 아이패드에서 사용하는 친구들은 있었습니다!

 

3D 작업은 아이패드가 아니라 노트북으로 하는 게 훨씬 쾌적하기 때문이에요.

 

체크포인트

✔️고성능 노트북이 있기 때문에 아이패드로는 저사양 작업만 하게 된다.

✔️대부분 사용 어플은 굿 노트, 프로 크리에이트, 포토샵, 라이트룸 정도다.

✔️도면을 보기 때문에 기왕이면 화면이 넓은 게 좋다.

 

by unsplash

아이패드 모델 추천 for 건축학과

건축학도의 각 상황에 따라서 최적 아이패드 모델은 무엇인지 큐레이팅 해봤습니다.

 

☑️ 기왕이면 좋은걸 사고 싶다

👉프로 12.9인치 / 11인치

 

* 3/4세대는 차이가 적어서 원하는 제품 사면 된다.

* 셀룰러는 필수가 아니라 개인의 선호에 따라!

* 성능보다는 화면 크기가 중요하다. 굳이 고성능, 고용량으로 살 필요는 없다.

 

☑️ 중고라도 괜찮다

👉프로 2~4세대 / 에어 3세대 / 기본 6~8 세대

 

* 추천 순서는 당연히 프로 > 에어 > 기본 아이패드

* 역시나 화면 크기를 성능보다 중요하게 할 것

= 같은 돈이면 화면 크기가 더 큰 걸 구입할 것

* 프로 2세대는 오래됐지만 프로모션 디스플레가 탑재되어 있다는 메리트

 

중고 모델을 사용하는 게 오래전부터 아이패드를 써왔다 라는 식으로 포지셔닝을 하시면 오히려 더 앱등이 같고 좋아요 ^_^

 

☑️ 신제품 중에 제일 저렴한 거 사고 싶다

👉기본 8세대

 

* 신제품 중 가성비 좋은 걸 그냥 사고 싶다면 아이패드 8세대 

* 타제품 대비 성능이 낮으나, 사용에 무리 없음

* 쓰다 보면 화면이 더 컸으면 좋겠다는 생각이 들 수 있음

 

☑️ 아이패드 미니도 괜찮나?

👉기왕이면 비추!

 

* 아이패드 미니는 생각보다 아주 많이 작습니다.

* 화면 크기가 1번으로 중요한데, 쓰기 불편할 수 있어요.

* 휴대성은 극강이나, 위의 말한 아이패드 어플 어느 한 개도 제대로 사용하기 어렵습니다.

* 특히 도면을 보는 데에 아주 불편해요. 

 

혹시 구입을 고려하신다면 이번 2021년도에 미니 6세대 출시 소문이 있으니 기다려보셔도 좋을 것 같아요.

 

☑️ 기본 아이패드도 괜찮나요?

👉네네 충분합니다! 사세요! 달려!

 


 

[연대생피셜] 건축학과 아이패드 vs 갤럭시탭

[연대생피셜] 졸업생이 알려주는 건축학과 아이패드 vs 갤럭시탭 이전 글에서 건축학과에서는 태블릿pc가 정말 필요하다는 걸 알아보았습니다. 오늘은 아이패드와 갤럭시탭 중 어떤 제품을 선택

slowslow.tistory.com

 

[졸업생이알려주는] 대학교 학과별 아이패드 필요 종류 추천 (아이패드 사이즈)

대학교 학과별 아이패드 필요 종류 추천 (아이패드 크기, 사이즈) 대학교 학과별로 특성에 따라 아이패드가 필요한지, 혹은 어떤 아이패드가 필요한지가 다릅니다. 오늘은 그 내용을 정리해보도

slowslow.tistory.com

 

[티스토리] 네이버 서치 어드바이저 색인/수집 현황 오류 쉬운 해결법

최근까지 문제가 있었던 제 티스토리 블로그 네이버 서치 어드바이저 등록 화면입니다. 로봇 메타 태그, 사이트맵, rss 등 모두 정상적으로 제출했지만 포스팅을 할 때마다 수집이 제대로 되지 않는 문제가 있었습니다. 

 

원래는 해당 부분을 몰랐다가, 블로그 개설 2달차가 넘어가는데도 아직도 네이버 유입이 없다는 점이 이상해서 확인해보기 시작했어요.

 

당시 상황 

 

연동해둔 트위터와 네이버에서 강제로 수집요청을 해 '트위터', '네이버'채널로 콘텐츠 확산은 제대로 이뤄지고 있었습니다만, 네이버에서 검색 및 노출은 발생하지 않고 있었습니다.

 

서치 어드바이저에서 요청 > 웹 페이지 수집에서 일일이 페이지 url 넘버를 입력해서 수집을 요청해야지 네이버에서 수집이 되고 있는 상황이었습니다. 하지만 시간이 지나도 요약 페이지에 수집 현황이나 색인 현황은 나타나지 않고 있었습니다.

 

문제 해결 ⭐️

강제 수집 요청은 지만, 수집되었다고 집계되지는 않고 색인도 생성되지 않는 문제를 해결하기 위해서 네이버 서치 어드바이저 재등록을 시행했습니다. 제가 생각한 문제점은

 

http://(블로그 주소). tistory.com 이 아니라

https://(블로그 주소). tistory.com으로 설정해야 정상적인 등록이 된다는 것이었습니다.

 

http로 등록되어있는 주소를 삭제하고 https로 새로 등록하고, rss, 사이트맵을 새로 제출해주었더니 며칠 후 정상적으로 집계가 되기 시작했습니다.

 

재설정 이후

이전과는 달리 수집 현황이 정상상태로 바뀐 것을 볼 수 있고 요약 페이지에도 정상적으로 색인과 수집이 이뤄지고 있음을 확인할 수 있었습니다!

 

개인적으로 학교 수업시간에 진행한 빅데이터 및 스몰데이터 프로젝트입니다.
텍스 톰 Textom 및 UCINET을 주로 사용하였고 모든 주제와 로직은 자체적으로 구성했습니다.

해당 포스팅은 개인적으로 진행한 프로젝트에 대한 소개이자 아카이빙의 목적이며, 관련 내용에 대한 무단 배포 재가공 등을 모두 금합니다.


프로젝트의 메인 theme이 "밀레니얼 세대"와 "패션"이었습니다. 저는 건축 공부를 병행하면서, 공간에 대한 사람들의 인식에 관심이 많았기 때문에 밀레니얼 세대가 공간을 일종의 패션으로 소비하고 있다는 것을 유튜브와 인스타그램 등 SNS를 통해 관찰했고, 다음의 주제를 선정했습니다.

주제 선정, 로직, 데이터 수집, 데이터 정제, 데이터 분석, 인사이트 도출, 발표 준비까지 약 2달 동안 준비했습니다.

크게 네 가지 단계로 관찰 > 빅데이터 분석 > 스몰데이터 분석 > 결과 도출의 흐름으로 발표를 구성했습니다.

관찰

먼저 "패션"과 관련된 "밀레니얼 세대"의 특징을 발견하기 위한 관찰 단계입니다.

밀레니얼 세대를 효과적으로 관찰하기 위해서는 그들의 주요 활동공간에 침투해야 한다고 생각해, 온라인 공간 속 모습을 관찰했습니다.

다양한 SNS 중 오늘의 집, 유튜브, 인스타그램을 통해 밀레니얼 세대들은 '랜선 집들이'와 같은 키워드로 자신의 공간을 공개하는 것에 익숙하다는 것을 관찰했습니다.

또한, 뉴스 등 2차 자료 조사를 통해 밀레니얼 세대는 개인 정보에 대해 타 세대보다 민감하며, 자신의 삶이 침해받지 않기를 원한다는 것을 관찰했습니다. 이 내용은 택배를 집 주소가 아닌 무인 택배함으로 주문하거나, 택배기사 직접 대면을 피하기 위해 '문 앞에 두고 가주세요'를 남긴다거나, 온라인 거래 시 '안심번호 활용'등의 사례가 있었습니다.

이러한 두 가지 모습을 통해서 밀레니얼 세대는 내 삶의 공간과 공개라는 측면에서 이중성을 보인다는 점을 알게 되었습니다.

이중성이 발생하는 이유가 무엇인지 탐구하는 것을 주제로 설정하였습니다.

기성세대는 내 삶의 공간을 Private 하고 지켜야 하는 공간으로 인식하는 편으로 알려져 있습니다. 때문에 외국에선 유행하는 홈파티 같은 문화도 잘 없죠.

하지만 밀레니얼 세대는 어떨까요?
앞서 발견되었던 유튜브, 인스타그램 속 모습들을 통해 기성세대에 비해 Private 한 공간으로 여기는 성향이 덜하다는 것을 알 수 있습니다.

빅데이터 분석

그 원인을 찾기 위해 먼저 빅데이터 분석을 진행했습니다.

분석 설계단계에서 연구 주제를 "내 삶의 공간에 대한 이중성을 보이는 밀레니얼 세대"로 설정하였습니다.

수집도구로 TEXTOM을 사용했으며, 다음과 구글 유튜브 등 관련 모습을 찾을 수 있을 것으로 예상되는 채널들을 중심으로 수집을 진행했습니다.

* 분석 당시 TEXTOM이 네이버의 수집의 오류가 발생해 네이버 관련 채널은 수집하지 못하였고, 인스타그램 또한 수집하지 못한 점이 한계였습니다.

2019-11-19부터 1년의 기간을 설정해, 중심 키워드로 "랜선 집들이"를 선택했고 총 4,172건의 데이터를 수집했습니다.

분석 결과

키워드 빈도 분석 결과 중심 키워드인 랜선 집들이를 비롯한 인테리어, 공개, 집, 영상, 소개 등 집 공개 방식이나 관련 키워드들이 높은 빈도와 중요성을 갖는 것을 알 수 있었습니다.

상위 30위 단어 워드 클라우드를 통해 다음과 같이 랜선 집들이- 인테리어- 집들이- 집- 공개 등의 키워드가 중심을 이룸을 알 수 있었습니다.

네트워크 분석

위의 분석 결과를 바탕으로 UCINET을 활용해 Network 분석을 진행했습니다.

개략적으로, 우측 하단의 높은 빈도와 연결성을 가지는 단어들이 나타나는 것을 확인할 수 있었습니다.

군집분석

이를 그룹핑하는 CONCOR 분석을 진행했습니다. 유의미한 해석을 위해 4개의 군집으로 분석했습니다.

4개의 군집을 다음과 같이 분석했습니다.

먼저, 붉은 집단은 랜선 집들이, 인테리어, 집들이, 오늘의 집 등 랜선 집들이 랜선 집들이와 관련된 소재, 방법 등의 단어가 나타나 랜선 집들이를 보여주는 전반적인 단어의 집합으로 볼 수 있었고,

푸른 집단은, 랜선 집들이 전쟁 -홈스타 워즈-홈스타 워즈라는 예능 프로그램과 관련된 키워들이키워들이 나타나 있었습니다. 때문에 예능으로 소비되는 온라인 집 공개 집 공개로 명명했습니다.

노란색 집단은 편 스토랑 프로그램에서 연예인 한다감 씨 합류 당시 집 공개를 했던 사례로 인한 키워드가 나타나 있었습니다. 때문에 연예인의 집 공개 사례로 명명했습니다.

마지막으로 초록색 집단은,, 공개, 유튜브 영상 등의 단어가 주를 이루는 것을 통해, 온라인 집 공개의 방법 - 영상으로 명명했습니다.

4가지 집단을 다시 간략하게 정리하면, 내용 유사도와유사도와 네트워크 간 연결관계를 통해 파랑 노랑 / 빨강 초록 두 개의 집단으로 나눌 수 있었으며 각각 방송과 연예인들의 랜선 집들이 사례 증가와 영상으로 진행되는 랜선 집들이 문화로 나눌 수 있었습니다.

스몰 데이터 분석

빅데이터 분석에서 스몰데이터 분석을 진행했습니다.

유튜브, 오늘의 집 등 관련 채널에 랜선 집들이 관련 온라인 포스팅 경험이 있는 밀레니얼 세대 2인을 인터뷰 대상으로 설정했으며
카카오톡 zoom 등 비대면 매체로 명당 20분 내외의 질의응답을 진행했습니다.

질문 구성

하나. 온라인 집 공개를 하는 이유와 사용 매체는 무엇인가?
-> 온라인 집 공개를 하는 동기와 방법에 대해 확인하고자

둘. 온라인 집 공개 시 개인정보 공개에 대해 우려한 적은 없는가?
-> 밀레니얼 세대의 두 번째 특징인 개인정보 노출에 민감한 특성에 대해 확인하고자

셋. 자신에게 집, 내 삶의 공간이란 무엇인가?
-> 집에 대해 느끼는 태도를 조사하고자

분석 결과

온라인 집 공개를 하는 이유와 매체에 대해 물은 질문에 대해서

응답자 A, B 모두 SNS에 내삶의 공간을 공개하는 것에 대한 저항이 적음을 알 수 있었고 내 냄새가 많이 나는 공간으로 꾸미고 싶다 라는 응답을 통해 내가 사는 공간 속에 나 자신이 반영되기를 원함을 알 수 있었습니다.

온라인 집 공개 시 개인정보 공개에 대해 우려한 적은 없냐는 질문에 대해서

A, B, 재밌는 게 더 많다는 응답을 통해 개인정보 공개에 대한 우려는 있으나 통제가 가능하다고 믿으며 얻는 것이 더 많고 중요하다고 여김을 알 수 있었습니다.

자신에게 집, 내 삶의 공간이란 어떤 의미를 갖는지에 대해서

내 삶의 공간이란 내 삶의 배경을 의미하기도 하고 패션의 일부와 자기표현의 수단으로 인식된다는 것과 유튜브 인스타그램인스타그램 등 SNS에 공유하는 것은 일종의 기록에 불과하지 않는다는 것을 알 수 있었습니다.

* 이 부분에서 추가적으로 밀레니얼 세대들의 SNS에 대한 태도를 알 수 있었습니다. 모두에게 공개된 온라인이라는 점보다는 자신의 삶의 영역 중 하나라고 느끼는 경향이 강한 것으로 생각됩니다.

결과 도출

빅데이터와 스몰데이터 분석을 통해 다음과 같은 결과를 도출했습니다.

먼저 밀레니얼 세대가 SNS를 통한 일상 공개에 익숙하다는 점과 자기표현의 욕구가 강하고 내 삶의 공간에 노출에 대한 저항이 낮다는 특징이 랜선 집들이라는 하나의 표현방식으로 나타났습니다.

이는 표현하고자 하는 욕구는 물론, SNS의 성장과 미디어를 통한 자극으로 인해 SNS 업로드로 이어져 일종의 주류문화로 형성되었을 것으로 예상됩니다.

또한, SNS 문화를 통해 랜선 집들이 문화가 주류로 자리 잡게 되자 매스미디어로 역전파 되었고 빅데이터 분석에서 보았던 랜선 집들이 전쟁- 홈스타 워즈 홈스타 워즈, 편 스토랑 등 예능 방송을 통한 연예인들의 집 공개 사례가 증가했습니다.

결과적으로 다시 외부 환경 및 자극으로 이어져 positive feedback을 형성해 지속적인 문화로 자리 잡은 것을 알 수 있었습니다.

결론적으로 관찰을 통해 알아보고자 했던 내 삶의 공간에 대한 밀레니얼 세대의 이중성은

하나. 자신의 삶의 공간을 일종의 패션, 자기 표출의 수단으로 여긴다

둘. 자신의 삶의 영역이 침해받지 않기 위해 SHOWING은, 정보는 제공하지 않는 것으로 나타난다

따라서, 기존 기성세대에게 private place로 여겨졌던 내 삶의 공간이 밀레니얼 세대에게는 보여주고 싶지만 알려주고 싶진 않은 공간,
"showing but not informing"한 의미를 가짐을 연구를 통해 알 수 있었습니다.


프로젝트를 통해서 TEXTOM, UCINET 등 새로운 프로그램을 배웠을 뿐 아니라 빅데이터와 스몰데이터 등 어떻게 데이터를 수집하고 처리하고 의미를 도출하는지 기초적인 흐름을 습득할 수 있었습니다.

뿐 아니라, 프로젝트 전 단계에 밀레니얼 세대에 대한 특성을 공부하면서 우리 세대만이 가지고 있는 특성과 타 세대와의 차이점에 대해서 고민할 수 있는 시간이었습니다.

평소 관심 있었던 주제에 대해서 연구하는 과정을 통해서, 문제를 해결하는 과정 혹은 호기심을 유의미하고 생산적으로 해결해가는 새로운 방법을 습득했다고 생각합니다.

데이터 프레임 만들기 data.frame (1)

english <- c(50, 80, 60, 70)
math <- c(50,60,100,20)

df_midterm <- data.frame(english, math)

R에서 데이터 프레임은 일종의 '표'와 같다고 이해하면 편합니다. 

행과 열로 구성되어있고 각각 셀에 값이 대응되는 구조입니다.

 

array, vector 등 다양한 class가 있지만, data frame이 가장 대중적으로 사용하는 것 같습니다.

 

위의 코드를 실행하면

# english
[1] 50 80 60 70

# math
[1]  50  60 100  20

# df_midterm
english math
1      50   50
2      80   60
3      60  100
4      70   20

df_midterm 에는 위와 같은 data frame이 삽입됩니다. 

4가지씩 요소를 가지고 있는 english, math라는 열 두 개가 병렬로 순서대로 합쳐지는 방식입니다.

 

 

데이터 프레임 만들기 data.frame (2)

df_midterm2 <- data.frame(english=c(50,80,60,70), 
                          math=c(50,60,100,20)) 

1번 방법은 english, math를 각각 c 함수로 변수 지정을 해준 후 column을 합쳐서 data frame을 만드는 방법입니다.

 

 

2번 방법은 data frame속 english, math column과 요소 값을 한 번에 만드는 방법입니다.

# df_midterm2

  english math
1      50   50
2      80   60
3      60  100
4      70   20

1번에서 했던 방법과 동일한 결과물이 출력됩니다.

 

 

엑셀 열기/로드 readxl

install.packages("readxl")
library(readxl) 

R에서 excel을 열기 위해서 "readxl" 패키지를 사용합니다.

위처럼 install을 해주고 library로 로드시킵니다.

 

역시 ""사용 여부에 주의해야 합니다.

 

이제 엑셀을 열기 위한 준비가 된 상태이고 이제 파일을 열어줍니다. 

df_1 <- read_excel("파일이름.확장자")

read_excel이라는 함수를 통해서 엑셀 파일을 불러옵니다.

 

이때 주의해야 하는 것은 ""따옴표 사용과 파일명 전체를 다입력하고 확장자명까지 입력해야 한다는 점.

 

그리고 R project의 같은 working directory에 들어있어야 한다는 것입니다.

 

만약 같은 워킹 디렉터리 폴더에 있지 않은 excel파일을 오픈하려고 하면 파일 주소를 ""따옴표 사이에 전체적으로 적어주면 됩니다.

 

위 코드의 의미 :  df_1이라는 변수에 read_excel을 통해서 "파일 이름. 확장자" 엑셀 파일을 저장한다.

티스토리 카테고리 오류 글 목록 (목록 구성 요소) 안 보일 때 해결방법

.

얼마 전 문제가 있었던 제 티스토리 글 목록입니다. 카테고리에서 [물건 이야기/IT 전자기기]를 눌렀는데 아무 글이 보이지 않는 현상이 있었습니다. 다른 카테고리들도 마찬가지였고요.

 

그래서 이것저것 만져보다가 결국 해결책을 찾았습니다.

 

해결방법

1. 티스토리의 블로그 관리의 꾸미기 탭에 스킨 편집에 들어갑니다.

2. 스킨 편집 창이 뜨면 오른쪽에 있는 홈 설정/기본 설정 영역을 확인합니다.

3. 목록 구성 요소를 목록 +내용으로 설정합니다.

4. 기본 설정 영역의 목록 구성 요소를 목록+내용으로 설정합니다.

5. 스킨 편집 창 우측 위의 검은색 적용을 눌러주면 끝.

6. 문제가 제대로 수정되었는지 다시 확인해 봅니다.

 

* 쉽게 말해 티스토리 스킨 편집에 들어가 오른쪽 사진처럼 똑같이 하면 된다는 뜻

* 홈 화면 글 수, 글 목록 글 수는 무관한 것으로 보임

 

결과

해결 완료!

보시는 것처럼 이제 카테고리 내의 글 목록이 잘 보이는 것을 알 수 있습니다. 이전에 스킨에서는 이런 오류가 발생하지 않았는데, 스킨을 best seller book?으로 변경하고 나니 이런 오류들이 생겼더라고요.

 

모바일에서는 어차피 카테고리를 누를 일이 잘 없어 상관없지만, PC에서는 제 스킨이 우측에 카테고리가 항상 떠있기 때문에 원래 문제 상황처럼 아무 글도 나타나지 않는 것은 방문자 들의 만족도와 페이지 뷰잉을 낮추는 요인이 될 수 있습니다.

 

 

다른 글 읽으러 가기👇

 

 

[신촌 아크앤북] 커피와 책이 있는 서점 : 신촌 갈만한 곳, 데이트

[신촌 아크앤북] 커피와 책이 있는 서점 : 신촌 갈만한 곳, 데이트 어제의 신촌은 오늘은 없다. 내일에 오늘의 신촌은 있을까? 여전히 확신은 없다. 매일 쏜살같은 속도로 만나과 헤어짐,

slowslow.tistory.com

ggplot2 패키지 로드

install.packages("ggplot2")

library(ggplot2)

처음에는 ggplot2를 설치해줘야 합니다. 그 이후 library에 ggplot2를 등록하는 두 단계를 거쳐야 합니다.

install은 1회만 해주면 되지만, library는 실행 때마다 등록해주어야 합니다.

 

* 주의 : 설치시 "따옴표"를 쓰지만, library 등록 시 따옴표를 쓰지 않는다

 

qplot 함수 활용법

x <- c('a','b','b','c')

qplot(x)

x 변수에 c 함수를 활용해 데이터 값을 넣고 qplot 함수를 사용합니다.

기본적으로 qplot함수는 데이터의 빈도그래프를 출력합니다.

 

x 에는 a, b, c 가 각각 1, 2, 1 개 있었기 때문에 아래와 같은 빈도 그래프가 출력됩니다.

 

출력 그래프

* 주의 : qplot 은 ggplot2 라이브러리 내의 함수로 꼭 패키지 인스톨 및 라이브러리 등록이 되어야 사용 가능합니다.

 

qplot 함수 박스 그래프, 선 그래프로 출력

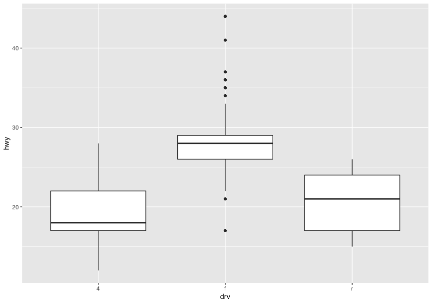
qplot(data=mpg, x=drv, y=hwy)
qplot(data=mpg, x=drv, y=hwy, geom="line")
qplot(data=mpg, x=drv, y=hwy, geom="boxplot")

기본적으로 등록되어있는 mpg 데이터를 활용해 qplot 함수를 실습해보았습니다.

mpg 데이터는 기본적인 R사용법 실습을 위해 기본 내장되어있는 미국 내 자동차 관련 데이터입니다.

 

qplot함수의 문법

함수명 ( 데이터=누구, x=누구, y=누구, 형태="어떤 거", ~etc)

최소한 data, x, y는 설정해야 하며 geom 은 어떤 형태로 그래프를 출력할 것인지 결정하는 옵션입니다.

 

 

1,2,3

위의 qplot함수를 출력하면 다음과 같이 출력됩니다.

1. 형태 조건 없을 때 -> 점

2. geom="line" -> 선

3. geom="boxplot" -> 박스 플랏 형태

 

* =>  표시는 해당 행을 실행시켰을 때 출력되는 결과를 표기한 것입니다.

 

단일 변수 정의/변수 지정

#숫자
a <- 1
b <- 2


#문자
a <- 'hello'
b <- "hello world"

R의 기본문법인 변수 정의는 우측의 내용을 좌측에 정의한다. 덮어 씌운다 라는 뜻으로 볼 수 있다.

 

*항상 그랬듯 R에서 입력만 하고 끝나면 안 되고 윈도에서는 컨트롤 + 엔터 맥에서는 command + 엔터 를 꼭 입력해서 각 코드를 실행시켜줘야 입력이 된다.

 

변수가 아닌 문자를 입력해줄 때는 '', "" 따옴표 둘 중 하나를 사용해서 감싸줘야 한다.

 

복합 변수 정의/변수 지정

숫자
a <- c(1,2,3)
=> 1,2,3

b <- c(1:4)
=> 1,2,3,4

문자
c <- c("hello","world")
d <- c('hello','world')

하나의 변수에 여러 개의 숫자를 넣고 싶을 땐 c함수를 사용한다.

* R은 대소문자를 구분하기 때문에, C가 아니라 c로 넣는 것에 주의한다.

 

하나하나 숫자를 선택하고 싶다면 콤마, 로 구분해주면 되고,

연속된 숫자를 넣고 싶다면 (시작 값 : 끝 값)으로 콜론으로 구성해주면 된다.

 

하나의 변수에 문자를 여러 개를 넣을 때도 c함수를 사용한다.

이때도 역시나 "", '' 둘 중 하나 따옴표를 사용해서 문자라는 것을 인식시켜주면서 삽입해야 한다.

 

 

변수 평균/최댓값/최솟값/중앙값

a <- c(1,2,3)
=> 1, 2, 3

mean(a)
=> 2

median(a)
=> 2

max(a)
=> 3

min(a)
=> 1

a에 연속된 1, 2, 3 숫자를 넣었을 때 각각의 평균, 중앙값, 최댓값, 최솟값을 구하는 방법이다.

 

평균은 mean

중앙값은 median

최댓값은 max

최솟값은 min

을 사용하고, 그 뒤에 괄호 안에 어떤 변수를 선택할 것인지 넣으면 된다.

 

R에서 함수의 기본 문법은 함수 이름(변수 : 목적/대상)으로 이해할 수 있다.

한국말로 풀면 동사(목적어) 에 해당한다.

 

 

 

[R기초] 통계프로그램 R 공부 (1) 변수 설정, 사칙연산, 주석 넣기

변수 지정/ 변수 정의 a R은 명령어 구조는 좌변은 자리 "-에" " 우변은 대상 "-를" 로 볼수있다. 편하게 "왼쪽 변수에 오른쪽 내용을 넣는다."로 이해할 수 있다. 위의 명령어는 a b 로 해석 가능하다

slowslow.tistory.com

 

-

[총정리] 맥북 정전기 접지하는 모든 방법

찌릿찌릿하고 간질간질한 느낌은 맥북 사용자들의 공통된 고충입니다. 맥북의 찌릿찌릿한 미세전류는 접지 플러그가 동봉되지 않기 때문에 발생하는 문제예요. 법적인 문제로 접지가 없는 돼지코가 동봉되어 제공된다고 합니다.

 

작게는 간질간질한 느낌이 묘하게 기분을 나쁘게하고, 혹여 맥북의 외관의 도장이 벗겨진 곳이나 큰 스크래치 / 찍힘이 있다면 어마어마한 따가움을 느끼게 됩니다. 그리고 전자기기 자체에도 성능 악화로 이어질 수 있다는 의견이 지배적이에요. 

 

따라서 기기를 위해서라도 혹은 더 만족스러운 맥북 사용을 위해서라도 접지를 해주는 것이 중요해요. 국내에 통용되는 네가지 대표적인 맥북 220V 돼지코 접지 방법에 대해서 알려드립니다.

 

 

비트윈 클립

출처 : 비이엘이 - 와디즈

최근 와디즈에서 펀딩을 진행했던 비트윈 클립입니다. 구조는 간단해요. 

 

클립형태로 맥북 어댑터 내 접지 부위를 콘센트에 연결해주는 거예요. 장점은 매우 작고 심플해서 디자인을 해치지 않는다는 것입니다. 내부에 끼우는 구조지만 유격도 별로 없고요.

 

출처 : 비이엘이 - 와디즈

 

가격

12,000원대 

 

장점

1. 디자인을 해치지 않음 매우 깔끔함

2. 경쟁상품 대비 꽤 저렴한 가격대

3. 매우 작고 귀여워서 무게나 신경쓸것들이 늘지 않음

4. 원래 정품어댑터의 형태 보존 가능

 

단점

1. 접힌 클립을 세워서 사용하는 구조라 클립이 끊어질 수 있다는 점

2. 접지부분이 외부에 노출된다는 점

 

하단에 관련제품 링크 모아뒀습니다!

 

 

두들 플러그

출처 : 두들플러그

맥북 유저들사이에서는 아주 유명한 제품이에요. 기존 맥북 어댑터에 헤드만 바꿔 끼는 구조입니다.

 

두들 플러그 장착 시 맥북 어댑터의 디자인이 아주 살짝 바뀌지만, 안정감 있는 접지가 가능하다는 게 장점이에요. 출시된 지 오래돼서 이미 공인된 제품이라는 점도 큰 장점이고요.

 

가격

19,000원대

 

장점

1. 이미 정착된 안정된 접지 액세서리

2. 헤드만 바꾸는 구조로 깔끔한 편

3. 헤드를 교체하기 때문에 주렁주렁 다른 짐이 생기지 않음

 

단점

1. 경쟁상품 대비 살짝 비싼 가격

2. 약간 못생겨지는 디자인

(디자인에 예민하신 분들이면 비추천드려요 애플의 감성 디자인이 와장창 사라집니다)

 

 

Volex 케이블

출처 : 라메종드 네이버 스마트 스토어

덕 헤드 다음으로 국내에 일찍 유통되어 유명한 Volex 접지 케이블입니다. 보시다시피 어댑터에 추가적으로 긴 케이블이 연장되는 구조인데요.

 

덕분에 충전거리가 길어진다는 장점도 있지만, 긴 코드가 필요하지 않다면 매우 거추장스러워진다는 단점이 있습니다.

 

* 21년 3월 현재 국내 구매처에는 모두 품절이네요 유통 일시 중단된 것 같습니다.

* 직구만 가능한 것으로 나옵니다!

 

가격

2만 원대

 

장점

1. 충전기 연장 가능

 

단점

1. 어댑터가 거추장스러워질 수 있다.

2. 케이블만큼 무게가 늘어나 휴대성이 감소한다.

 

접지 어댑터

출처 : 클레버 타키온

위 제품은 제가 최근 구입한 클레버 타키온의 75W 멀티 충전기 G12CA의 상품 상세 페이지 사진입니다.

 

꼭 클레버 타키온 제품이 아니더라도 맥북에어, 맥북프로를 충전할만한 정격 전압을 제공한다면 '접지'만 포함되어있다면 정말 추천드립니다. 위의 제품들과 다르게 정품 어댑터를 사용하지 않는 방식이라 선호하지 않는 분들도 계실 수 있지만 여러 기기 동시 충전이 가능하고, 무게도 더 가벼운 경우가 있어서 장점도 꽤 많은 방법이에요.

 

가격

제품마다 다르나 3~6만 원대 사이

 

장점

1. 여러 기기 동시 충전이 가능

2. 맥북프로의 61W 충전기 대비 가벼운 제품들이 있다.

3. pps 등 삼성의 충전규격 등도 지원하는 제품들이 있다.

4. 맥북의 흰색이 아닌 검은색 어댑터도 있다.

5. 맥북의 어댑터를 새 거로 보관할 수 있다.

(미사용 중고로 팔아 멀티 pd 충전기의 구입가를 줄일 수도 있겠죠)

 

단점

1. 정품이 아니기 때문에 안정성이 조금은 낮을 수 있다.

2. 제품마다 간혹 가다 뽑기운이 있다. 

3. 애플 맥북의 디자인 감성과는 조금은 멀어질 수 있다.

4. 오늘 소개한 제품 중 가장 비싸다.

 

 

여러분의 현명한 소비와 시간 절약에 도움이 되는 포스팅이었길 바랍니다. 

 

 *위 링크는 쿠팡 파트너스입니다. 링크를 통해 구입 시 일정 수수료를 지급받습니다. 수수료는 블로그 운영에 큰 힘이 됩니다.

 

 

 

맥북에 어울리는 마우스가 궁금하다면 👇

 

[제품추천] 맥북에 어울리는 마우스 ( 로지텍, 다이소 )

[제품 추천] 맥북에 어울리는 마우스 ( 로지텍, 다이소 ) 맥북은 트랙패드가 굉장히 성능이 좋아서 마우스를 사용하지 않는 경우도 많죠. 하지만, 노트북 스탠드에 올리거나 접어서 거치대에 올

slowslow.tistory.com

 

대학교 기숙사 준비물 리스트 PDF 양식 공유

지난 포스팅에서 Notion 페이지로 공유드렸던 대학교 기숙사 준비물 리스트를 PDF 파일로 변환해 양식 공유드립니다.

 

* 지난 포스팅

 

[템플릿] 기숙사 준비물 리스트 남자 (노션 템플릿 공유)

기숙사 준비물 필수품 리스트 공유 남자 버전 (노션 템플릿 공유) 연세대 국제캠퍼스 송도캠퍼스 대학교에 합격하신 모든 신입생 여러분께 축하의 말씀드립니다! 올해까지 대부분의 학교가 온

slowslow.tistory.com

다운로드 하셔서 직접 pdf의 서명 기능 활용하셔서 바로 체크해 사용하실 수도 있고, 아이패드 굿 노트에 삽입해 활용하실 수도 있습니다.

 

자료 설명

구성 : 남자, 여자 2가지

파일 사이즈 : A4

다운로드 방법 : 글 하단의 notion 링크 접속 후, 다운로드

 

티스토리에 직접 업로드하려 했으나, 10MB이상의 파일 업로드 제한으로 인해서 Notion 페이지에 파일 삽입해 대신합니다.

 

남자 준비물 리스트
여자 준비물 리스트

 

다운로드 링크 페이지

다운로드 링크 페이지에 접속하셔서, 클립 (📎) 모양의 "남자 기숙사 준비물 리스트. pdf", "여자 기숙사 준비물 리스트. pdf"를 클릭해 다운로드하시면 됩니다.

 

다운로드 링크 

www.notion.so/8bebc05e6a3b4b7b84a19692b099904f

 

템플릿 다운로드

🌍 작성자 - bewols

www.notion.so

 

세상 사람들 모두
그래픽 카드 없고!
CPU 고성능 아닌!
가벼운 울트라북 구입하시고
광명을 찾으셨으면 하는 마음에-

 

가벼운 울트라 노트북을 사야 하는 이유는 가볍기 때문입니다.

 

이게 무슨 말이냐면, 가벼운 노트북은 보통 CPU의 종류가 U로 끝나는 저전력 모델입니다. 저전력 모델이라는 건 성능이 낮다는 뜻이면서 동시에 전력을 적게 소비한다는 뜻입니다.

 

13인치, 15인치의 같은 크기의 노트북 외형 속에는 최대로 들어갈 수 있는 배터리의 양이 정해져 있습니다. 

 

따라서, 노트북의 두뇌에 해당하는 CPU가 전력을 덜 소비한다는 것은 같은 배터리를 더 오래 쓸 수 있다는 뜻이고, 사용시간의 증가를 의미합니다.

 

 

 

저는 노트북을 선택할 때 사실 가장 중요한 스펙 중에 하나가 배터리 사용시간이라고 생각합니다.

 

배터리 사용시간이 길면 길수록, 배터리에 대한 고민을 하지 않아도 되고, '신경 쓰지 않아도 됨'이라는 것은 숫자로 표현하기 어려운 감각적으로 월등한 경험을 제공하니까요.

 

우리가 '줄 꼬임', '단선', '줄 걸림' 등 문제를 겪지 않아도 되는 에어 팟 갤럭시 버즈와 같은 무선 이어폰을 사용한 후에 유선 이어폰으로 돌아가기 어려운 이유가 이 때문이고, 고질적인 배터리 문제를 갖고 있는 애플 워치의 사용성을 저해하는 가장 큰 요인이 하루 이틀이면 끝나는 배터리입니다.

 

보통 노트북 충전기는 200~300g대의 무게를 지닙니다. 항상 작은 물병을 가방에 하나 더 짊어지고 다닌다고 생각하면 편합니다.💦

 

굳이 CPU가 고성능이거나 그래픽카드가 달려있는 노트북을 구입할 경우, 어댑터 없이 노트북을 사용할 수 있는 시간이 길어야 4시간 미만입니다. 짧은 경우 3시간도 못가 화면이 어두워지는 경우도 있죠.

 

 

결론

가벼운 울트라 노트북은 배터리 사용시간이 길다. 따라서 노트북 충전기를 안 가지고 다녀도 충분한 사용이 가능하다. 

굳이 혹시 필요하지 않을까? 하는 마음에 고성능 노트북을 산다면,

필수적으로 노트북 충전기를 가지고 다녀야 해 300g 가까운 짐을 항상 짊어지고 다녀야 한다.

또 카페에 갔을 때 콘센트 자리가 없으면 다른 카페를 전전해야 하는 콘센트무세가 된다. 

당신에게 영상편집, 3D 작업등 고사양의 작업이 필요하지 않다면 노트북은 울트라 노트북을 구입할 것을 강력하게 권장한다.

 

 

[필독] 현실적인 맥북에어 m1 구매기 :: 총 구매 가격, 교육할인 스토어, 악세사리, 구입 전 알아

현실적인 맥북에어 m1 총 구매 가격 :: 교육 할인 스토어, 액세서리, 구입 전 알아 둬야 할 것 얼마 전 맥북에어 m1을 구입했습니다. 제 돈 제산으로 돈을 모아서 산 제품이라서 더 가치가 크게 느

slowslow.tistory.com

 

[구매가이드] 노트북 맥북 악세사리 비추천템 사면 안되는것! (케이스, 보호필름, 스탠드, 거치대

[구매 가이드] 노트북 맥북 액세서리 비추천 템 사면 안 되는 것 대부분의 글과 유튜브에서 추천 템은 다루고, 광고는 쏟아져 나오는데 사지 말아야 할 무언가에 대해서, 비추천하는 것에 대해서

slowslow.tistory.com

[마케팅 분석] 유재석의 차 포르셰와 신뢰의 관계

마케팅적 분석

 

얼마 전 유재석 씨가 이영지 씨와 함께 진행하는 컴백홈 TV에서 포르셰로 차를 바꾼 사실에 대해서 언급해 화제입니다. 국산차량을 해용하며 검소한 이미지를 유지해오던 유재석 씨는 2년 전쯤 '포르셰 파나메라'로 차를 바꿨다고 밝혔습니다. 옵션에 따라 차이는 있겠지만 1.5~2억대의 고가 스포츠 세단이기 때문에 더욱 주목을 받는데요.

 

저는 오늘 유재석이 타는 차가 얼마인지, 어떤 차인지가 아닌 마케팅적 관점에서 분석해보고자 합니다.

 

 

이미지 출처 : 스타뉴스

 

사람이 상대방에게 신뢰를 얻는 방법

대화를 통해 상대방에게 상대방에게 신뢰를 얻는 방법에는 크게 두 가지가 있습니다.

 

하나. 전문성이 높은 지식으로 상대를 설득한다.

둘. 자신에게 해가 될 수 있는 정보임에도 상대방에게 공개한다.

 

 

 

하나.

첫번째의 예시는 대화 속에서 어떤 주제에 관해 '일반인/청자보다 월등히 깊은 전문적 지식을 근거와 비유로 삼아' 이야기하는 것을 들 수 있을 거예요. 청자는 '자신보다 해당 주제에 대해 많이 알고 많은 고민을 한 상대방의 모습'에 신뢰를 얻게 될 겁니다.

 

둘.

두번째의 예시는 병원이나 AS센터에서 종종 겪게 됩니다.

 

병원은 환자를 진료하고 치료해 그 비용으로 매출을 내는 구조죠. 즉, 병원은 환자가 치료를 많이 받을수록 더 이득을 보는 것이고 반대로 치료를 지양하게 하면 그들에게 손해가 됩니다.

 

소위 양심 병원으로 불리는 병원들이 대중들에게 신뢰를 얻는 이유가 바로 여기에 있습니다. '치료를 더 하면 그들에게 이득인데도, 그렇게 하지 않고 잠재적 손해를 보더라'. 그들은 돈보다도 환자를 더 생각하는 병원이라는 신뢰를 형성하게 되는 것이죠.

 

AS센터에서도 비슷한 상황을 겪을 수 있습니다. 고장난 제품에 대해서 "이러쿵저러쿵 증상이 있지만, 시간이 조금 지나면 안정될 문제로 보이고, 당장 수리를 하면 비용이 많이 들어 수리를 안 받으시는 걸 권해드리고 싶습니다"라고 말해주는 AS센터가 있다면, 더 매출을 낼 수 있었음에도 그걸 포기하는 모습에 돈보다 소비자를 더 생각하는 모습에 신뢰감을 느끼게 합니다.

 

 

유재석씨의 언급과 신뢰

저는 유재석씨의 포르셰 파나메라에 대한 언급이 위의 두 번째 예시인 둘. 자신에게 해가 될 수 있는 정보임에도 상대방에게 공개한다. 에 해당한다고 생각합니다.

 

1. 유재석씨는 오랜 기간 굳어진 검소한 국민MC라는 무형 자산을 소유하고 있습니다.

 

2. 그 자산은 '명성'과도 같아 형성하기 매우 어렵지만, 한순간에 없어지긴 아주 쉬운 불안정한 자산입니다.

 

3. 유재석씨는 이번 포르셰 언급을 통해 '국산차만 탄다'라는 이미지를 굳이 해했습니다.

(언급하지 않아도 됐음에도 불구하고 말이죠)

 

4. 자신에게 해가 될 수 있는 언급임에도 불구하고 굳이 대중에게 공개한 것입니다.

 

5. 저의는 더 이상 '유재석은 검소하다'라는 이미지에서 탈피하고 싶었을 수도 있을 것이고 그저 '솔직하고 싶어서'일 수도 있을 것입니다.

 

6. 하지만 이유야 어쨌든 해당 언급은 유재석은 솔직하다. 유재석은 신뢰감이 간다. 와 같이 대중에게 유재석씨가 깊은 신뢰감을 제공하는 결과를 낳았습니다.

 

 

이 언급외에도 유재석 명언 중 일부를 자신이 한 말이 아니다 라고 유퀴즈온더블럭에서 정정한 바도 있었습니다. 이처럼 유재석 씨는 자신에게 득이 되지 않을 수 있는 언급임에도 불구하고 계속된 솔직한 발언으로 대중들에게 신뢰감을 얻어가고 있습니다. 유재석 씨의 계속되는 긍정적인 행보에 응원을 보냅니다.

 

 

 

👇마케팅 인사이트 더 읽으러가기

 

[마케팅 전략] 평생 회원권을 비추천 하는 이유. 구독 결제의 단점

[마케팅 전략] 평생 회원권을 비추천하는 이유 (아마존 프라임 넷플릭스) 마케팅의 관점에서 평생 회원권이 대부분의 경우 왜 비합리적인 구매가 되는지, 왜 비추천을 하는지 설명하고자 합니다

slowslow.tistory.com

 

[인사이트] 목표 없는 삶이 좋은 이유 : 현재에 집중하는 삶

[에세이] 목표 없는 삶이 건강한 이유 현재에 집중하는 삶 목표 없는 삶이 건강하다고 생각하는 이유에 대해서 세 가지 이유로 설명해보고자 합니다. 목표를 정하는 것의 피로 목표를 정하는 행

slowslow.tistory.com

[제품 추천] 맥북에 어울리는 마우스 ( 로지텍, 다이소 )

맥북과 마우스

맥북은 트랙패드가 굉장히 성능이 좋아서 마우스를 사용하지 않는 경우도 많죠. 하지만, 노트북 스탠드에 올리거나 접어서 거치대에 올려서 사용하는 경우, 별도의 마우스를 사용할 수밖에 없는데요. 그런 경우 사용하기 좋은 맥북에 어울리는 마우스 간단한 리스트업을 해봤습니다.

 

애플에서 출시한 전용 마우스인, 매직 마우스와 트랙패드는 제외하고 기능적으로 부족함이 없으면서 맥북 특유의 알루미늄 바디 디자인에 잘 어울리는 제품으로 골라봅니다.

 


노트북 마우스 선택기준에 관한 지난 글 참조해주세요👇

 

[구매가이드] 노트북 맥북 마우스 구매가이드 제품 추천 (광고X)

노트북 마우스 구매 가이드 제품 추천 (광고X) 신학기를 맞아 노트북 구매하시는 분들이 많을 것이라고 생각해요. 오늘은 노트북을 구매할 때 꼭 함께 구비해야 하는 마우스에는 어떤 제품이 있

slowslow.tistory.com


 

 

큐레이팅 기준 ⚠️

1. 무선 - 블루투스 연결 (동글 연결 x)
2. 디자인이 맥북과 어울릴 것
3. 부가기능이 있으면 좋고!
4. 무소음 마우스

 

1. 로지텍 페블 (M350 PEBBLE)

로지텍 페블

동글동글 귀여운 디자인과 저렴한 가격, 파스텔톤의 다양한 컬러웨이 전개, 무소음 기능과, 동글 및 블루투스 지원이라는 말도 안 되는 스펙으로 요즘 마우스 시장을 완전히 장악하고 있는 로지텍 페블입니다. 

 

특히 10대 20대 유저와, 아이패드, 맥북 사용자에게 인기가 많은 편입니다.

 

스펙 요약 

마우스 /  / 3 버튼 / 무선+블루투스 / AA형 1개 / USB / 상하 / 1000 DPI / 무소음 스위치 / 107mm / 59mm / 27mm / 100g

가격 : 배송비 포함 2만 원대

디자인 : 조약돌 같은 귀여움, 군더더기 없음

주의 ⚠️

가로세로 높이가 107*59*27로 보통 사용하시는 마우스보다 상당히 작고 납작합니다. 체감적으로 "아이폰6를 두 개 덮어놓은 것과 사이즈가 비슷"하다고 볼 수 있습니다.

 

따라서 평균 남성 손 사이즈에는 작을 수 있고 마우스 그립 방식이 핑거 그립에 한정된다는 단점이 있습니다. 그래서 손의 피로도가 높아질 수 있습니다! 

 

👉 장시간 작업용으로는 적합하다고 보기 어려우며 높은 휴대성과 깔끔한 디자인, 가성비 제품을 찾으시는 분들께 추천드립니다.

 

 

 

2. 로지텍 MX master S3 for Mac

마스터

로지텍 마우스의 왕이라고 할 수 있는 MX master의 맥북 전용 버전입니다. 큰 부피감에 커스텀이 가능한 버튼과 가로 휠이 달려있고 엄지까지 파지 가능한 쉐입이 특징입니다. 

 

웬만한 게이밍 마우스보다 크다고 생각하시면 볼륨에 대한 이해가 편할 것이고 특히 횡스크롤이 가능한 휠이 구성되어있어 영상편집을 하는 분들께 매력적인 마우스로 꼽히고 있습니다.

 

핑거 그립으로 운용하기에는 다소 크고 무거워, 팜 그립에 적합합니다.

 

 

스펙 요약

마우스 / 레이저 / 6 버튼 무선+유선 / 5.0 / 내장 배터리 / USB / 상하 / 센서다크필드 / 4000 DPI / 멀티페어링 / 소프트웨어 지원 / 125mm / 84mm / 51mm / 141g / 1m / 1년 보증 / Mac 전용 / USB C타입 케이블 제공 / 블루투스 호환 / iPad 호환

가격 : 약 12만 원

디자인 : 조약돌 같은 귀여움, 군더더기 없음

주의 ⚠️

큰 부피감과 무게감으로 휴대성은 다소 떨어지는 편이며 사무실 혹은 집에서 작업용으로 사용하기에 좋은 마우스입니다.

평균 여성 손 사이즈이거나, 손이 작으신 분들은 오히려 마우스 그립에 어려움이 있을 수도 있습니다!

 

👉 영상편집과 다양한 커스텀 기능을 갖춘 기능적으로 가장 완벽한 마우스

 

 

3. 로지텍 MX anywhere for Mac

로지텍 애니웨어

유명 제품인 로지텍 MX anywhere의 Mac을 위한 버전입니다. 화이트 바디와 실버 포인트를 가지고 있고 매크로 키와 dpi 조절 버튼 등 다양한 부가기능을 가지고 있습니다.

 

anywhere라는 이름처럼 어디서든 사용 가능하도록 휴대성을 목적으로 나 온제품으로 99g의 매우 가벼운 무게를 가집니다.

 

로지텍 페블보다 오히려 가벼운 무게라고 볼 수도 있으나 마우스의 엉덩이 부분과 전체적인 부피가 볼륨감 있게 제작되어서 파지 하기 매우 좋습니다. 핑거 그립보다는 팜 그립이나 클로 그립에 적합한 형태입니다.

 

 

스펙 요약

마우스 / 레이저 / DPI+5 버튼 / 무선+블루투스 / 5.0 / 내장 배터리 / USB / 상하 / 센서다크필드 / 4000 DPI / 멀티페어링 / Unifying / 소프트웨어 지원 / 100mm / 65mm / 35mm / 99g / 1m / 1년 보증 / Mac 및 iPad 호환

가격 : 정가 89,000원

디자인 : 흰색 바디로 맥북을 비롯한 애플에 매우 잘 어울림

 

👉 다양한 매크로(커스텀)가 가능하고 휴대성과 완성도가 작업용/일상용 마우스를 찾으시는 분들께 추천드립니다.

 

 

4. 다이소 무소음 마우스 (TG 삼보 무소음 무선 마우스)

출처 : 다이소

스펙 요약

무소음 버튼 / 사이드 버튼 지원 / 건전지 사용 / 동글 연결 (블루투스 연결 안 됨) / 무게 55g / 70*100*300 mm

가격 : 5000원

디자인 : 마감 안 좋음, 개인적으로 TG로고와 무소음 로고는 별로라고 생각하지만, 마찰로 지울 수 있음

 

블루투스 연결을 지원하지 않기 때문에 USB 동글을 꼭 사용해야 해서 C타입뿐인 맥북 유저들에게는 안 좋을 수도 있지만, 허브를 사용하신다면 잠깐 급하게 사기 좋은 마우스라고 생각합니다.

 

물건을 크게 애지중지 하지 않는 지인이 2년 넘게 사용하는 것을 보면, 꽤 준수한 내구성을 가진 제품으로 보입니다.

 

👉 마감도 안 좋고, 디자인도 그다지이지만 충격적인 가격 5000원과 가벼운 무게 등 나름의 소소한 장점들이 많이 있는 제품으로 급하게 혹은 가볍게 사용하기에는 좋은 것 같습니다.

 

포스팅 내 자료 출처 : 스펙 요약, 이미지 danawa

 


💻 맥북과 관련된 다른 이야기!

 

[필독] 현실적인 맥북에어 m1 구매기 :: 총 구매 가격, 교육할인 스토어, 악세사리, 구입 전 알아

현실적인 맥북에어 m1 총 구매 가격 :: 교육 할인 스토어, 액세서리, 구입 전 알아 둬야 할 것 얼마 전 맥북에어 m1을 구입했습니다. 제 돈 제산으로 돈을 모아서 산 제품이라서 더 가치가 크게 느

slowslow.tistory.com

 

[구매가이드] 노트북 맥북 악세사리 비추천템 사면 안되는것!

[구매 가이드] 노트북 맥북 액세서리 비추천 템 사면 안 되는 것 대부분의 글과 유튜브에서 추천 템은 다루고, 광고는 쏟아져 나오는데 사지 말아야 할 무언가에 대해서, 비추천하는 것에 대해서

slowslow.tistory.com

현실적인 맥북에어 m1 총 구매 가격 :: 교육 할인 스토어, 액세서리, 구입 전 알아 둬야 할 것

 

얼마 전 맥북에어 m1을 구입했습니다. 제 돈 제산으로 돈을 모아서 산 제품이라서 더 가치가 크게 느껴졌는데요. 문제는 교육 할인 스토어를 통해 샀음에도, 실질적으로 이것저것 액세서리를 많이 구입하다 보니 꽤 지출 폭이 커졌다는 것입니다. 

 

제가 맥북을 사기 전에 미리 알았더라면 좋았을 것 중 best of best인 총 구매 가격에 대한 정리 글을 남깁니다. 맥북 에어, 맥북 프로 등 애플 제품에 관심 있으신 분들의 구매에 도움이 되길 바랍니다.

 

맥북 구매 인증

우선 내돈내산이라는 점을 증명하기 위해 구매이력을 첨부합니다.

 

* 제가 구입한 관련 제품 유사제품 추천 제품은 글 하단의 링크에서 참조하실 수 있습니다.

 

1. 맥북 에어 m1 💻

구매인증2

저는 맥북에어 m1 13형 가장 기본 모델 (램 8기가, ssd 256, 영어 자판, 애플 케어 플러스 x)을 선택했습니다. 3월 초 경 주문했고 물량 부족으로 배송까지 2주 반 정도 소요되었습니다.

 

맥북에어(뉴 맥북에어)m1 의 정가는 1,290,000원이지만, 저는 199,000원을 학생/교육 할인받아 1,160,000원에 구입했습니다.

 

 

2. 접지 충전기 🔋

맥북은 전체가 알류미늄바디로 되어있습니다. 하지만, 국내 출시 220v 맥북 충전기(어댑터)에는 접지 없는 돼지코가 동봉되어있어 접지가 안됩니다. 접지가 안되어있는 상태로 사용하다 보면 

1) 미세전류로 인한 기기 성능 저하
2) 알류미늄 외관을 타고 흐르는 미세전류로 찌릿찌릿하거나 간질간질한 느낌

두 가지의 문제가 생깁니다. 두 번째 문제는 "참을 수 있다"로 해결할 수 있지만, 첫 번째 문제는 기기 결함으로 이어질 수 있다는 의견들이 있기 때문에 주의하는 것이 좋을 것으로 판단했습니다.

 

그렇게 저는 새로운 충전기🔋구입하게 됩니다.

 

접지만 되게 한다면, 1) 비트윈 사의 접지 클립 2) 두들 플러그 3) volex 사의 접지 케이블 등이 있으나, 모두 1만원에서 2만 원 사이의 저렴하지 않은 가격에 형성되어있었습니다. 

 

하지만 usb-pd 멀티 충전기는 2~4만원대의 가격대에서, 1) 여러 기기 동시 충전 2) 가벼운 무게 3) 접지 등.

위의 세가지 해결책보다 더 다양한 가치를 준다고 생각했고, 정품 충전기는 휴대용이나 사무실용으로 사용하면 되겠다고 생각했습니다.

 

그렇게 조금 더 가격에 공감이 되는 usb-pd 멀티 충전기를 구입했습니다. 

1) 접지
2) pd포트1개, usb포트 2개
3) 최저가 및 국내 구입 가능 (직구 x)

다양한 상품군이 있었으나 세 가지 조건을 모두 만족시키는 것은 클레버 타키온 사의 멀티 충전기였고, 배송비 포함 총 4만 원대에 구입했습니다.

 

문제는 멀티 충전기는 충전기 어댑터만 있을 뿐, 케이블은 따로 구입해야 해 2개에 usb pd 충전을 지원하는 c to c 케이블 2개에 1만 원에 구입했습니다. 

 

 

⚠️만약 ⚠️

접지를 원하지 않으신다면 3만 원 미만에서,

접지만 원하고 포트 1개만 있는 맥북 충전기를 원한다면 2만 원 내외에서,

접지 클립, 두들 플러그, volex로 해결한다면 1만 원 내외에서,

같은 문제를 해결하실 수 있습니다.

 

 

3. 썬더볼트 c타입 허브 ⚡️

맥북을 살 때 c타입 허브가 필요한 건 맥북에 관심이 있다면 아마 모두가 알고 계실 거라 생각합니다.

 

맥북 에어 m1은 좌측에 썬더볼트 c타입 2개, 우측에 3.5 이어폰 단자 1개로 

확장성이 특히 더 안 좋은 편에 속합니다.

 

따라서 당연히 USB-A, hdmi 등을 사용하기 위해서 허브를 구입해야 했습니다.

 

제게 필요했던 것은

1) USB A type 1개 이상
2) HDMI 포트 

였기 때문에 애플의 정품 허브인 USB-C Digital AV Multiport 어댑터를 고민했지만, 79,000원이라는 사악한 가격을 감당할 수 없어 비슷한 형태의 다른 제품을 찾았습니다.

 

저는 EZ USB C to HDMI 멀티 컨버터 미러링 TCV-3P TV 연결이라는 제품을 구입했습니다. 배송비 포함 15,000원 정도였고 맥북에어 m1의 썬더볼트 충전규격 또한 만족해 구입하게 되었습니다.

 

⚠️만약 ⚠️

저와 비슷한 니즈를 가지신 분들은, 위 제품으로 충분히 잘 사용하실 수 있을 거라 생각합니다. 컬러는 맥북 실버와 비슷하고 가볍고 발열도 크지 않고 모든 포트 정상 작동되었습니다.

 


총 가격/비용 계산

- 맥북 1,160,000

- 멀티 충전기 40,000

- 멀티 충전기 케이블 (c to c) 10,000

- C타입 썬더볼트 허브 15,000

 

=> 총 1,225,000

 

추가적으로

노트북 파우치를 구입할 예정이라면 +20,000

키스킨을 구매할 예정이라면 +5,000

애플케어 플러스 가입 예정이라면 +249,000

매직 마우스를 구입한다면 +89,000

등등 

 

이렇게 맥북을 사면 한도 끝도 없이 돈을 쓸 수 있습니다.

 

⚠️

꼭 필요한 것이 아닌 것들을 제한다면

& 애플 정품이나 벨킨 등 고가품을 구입하지 않는다면,

부가비용(액세서리)으로 10만 원 내외로 추가 지출을 고려하시면 좋을 것 같습니다.

 

 

 

*해당 링크는 쿠팡 파트너스 링크로, 링크를 통해 제품 구입 시 수수료를 지급받습니다 :-)


 

[신발 추천] 돔바 클로그 후기 언박싱 : 예쁜 사무실 슬리퍼, 회사 실내화

돔바 클로그 후기 :: 예쁜 사무실 슬리퍼, 회사 실내화 사이즈 추천 😍 사무실 슬리퍼 추천글에서 이어지는 글입니다 흔하지 않고 편하고 예쁜 사무실 슬리퍼 추천 :: 20대 30대 감성적이고 예쁜

slowslow.tistory.com

 

[15년차안경잡이] 10만원 미만 가성비 안경 살때 주의사항. 좋은 안경이란?

10만 원 미만 가성비 안경 살 때 주의사항. 안경 최소 투자 금액 모두가 좋은 제품은 좋아하지만 그보다 저렴하게 사는 것을 좋아합니다. 그러다보니 가성비라는 트렌드 키워드가 탄생하게 되었

slowslow.tistory.com

 

R 기초 함께 공부해요

 

변수 지정/ 변수 정의

a <- 1
b <- 2

R은 명령어 구조는

좌변은 자리 "-에"

"<-"가 서술어 "넣는다"

우변은 대상 "-를"

로 볼수있다.

 

편하게

"왼쪽 변수에 오른쪽 내용을 넣는다."로 이해할 수 있다.

 

위의 명령어는

a <- 1 : a에 1을 넣는다.

b <- 2 : b에 2를 넣는다.

로 해석 가능하다.

 

이렇게 입력해준 후 각각의 행에서 실행[컨트롤 + 엔터 (ctrl + enter)]를 눌러주면 

Environment 창에 변수가 입력된 것을 확인할 수 있다.

 

주의! 위처럼 변수 정의 식을 써주더라도 실행시키지 않으면, 변수가 정의되지 않는다.

꼭 입력 후 실행을 해주는 것이 중요하다.

 

 

변수 입력 확인

 

사칙연산

이제 각각의 값이 정의됐기 때문에 사칙연산이 가능하다.

a + b
=> 3
a + b + 3
=> 6

10/b
=> 5

a에는 1이, b에는 2가 들어있기 때문에 a+b를 입력하면 3이 출력되고, a+b+3은 6이 출력된다.

 

당연히 더하기 빼기 말고 나누기도 가능해 10/b는 10/2와 같아 5가 출력된다.

 

 

변수 정의 덮어 씌우기

a <- 1
a <- 2

위처럼 a에 1을 넣고, 다시 a에 2를 넣었다고 하자. 

그러면 a를 출력하면 뭐가 나올까?

 

첫 행에서 a는 1이 되었고, 두번째 행에서 a 는 2 가 되었기 때문에, a를 출력하면 2가 나올 것이다.

 

즉, 변수 정의는 덮어씌우기가 가능하다. 나중에 실행한 것이 최종 결과물이 된다.

 

 

주석 넣기

a <- 1 #가나다라마바사

#가나다라마바바
a<-1

R도 다른 프로그래밍 언어처럼 주석이 있다. 주석이란 실제 명령어로 입력되지 않으면서 코드에 남겨둘 수 있는 메모와도 같다. 일종의 댓글로 볼 수 있다.

 

써놓은 코드를 주석 처리해 임시적으로 사용하지 않게 만들 수도 있다.

 

# 입력 후 이어지는 글은 모두 주석으로 처리된다. 띄어쓰기도 관계없다.

엔터를 통해 줄 바꿈을 하지 않는 이상 모두 주석으로 처리된다. 위 코드처럼 하나의 줄에 연속해서 작성할 수도 있고, 줄을 달리하며 작성할 수도 있다.

 

R상에서 주석은 기울어져 기존 코드와 다른 색상으로 표시되어 구분할 수 있다.

돔바 클로그 후기 :: 예쁜 사무실 슬리퍼, 회사 실내화 사이즈 추천

돔바 클로그 좋아요!

 

😍 사무실 슬리퍼 추천글에서 이어지는 글입니다

 

흔하지 않고 편하고 예쁜 사무실 슬리퍼 추천 :: 20대 30대

감성적이고 예쁜 사무실 슬리퍼 추천 20대 30대 사무실 슬리퍼라고 하면 대부분 지압판이 달린 "아저씨 슬리퍼"가 나오거나, 일반 슬리퍼가 나오는데요. 오늘은 예쁘기도 하면서 발에도 편하고

slowslow.tistory.com

 


박스

박스 상단에는 domba라는 브랜드 없이 moss+라는 제품명만 적혀있었습니다.

 

내부

(신발은 이미 뺀 사진입니다.)

 

택(tag)이 달릴 곳이 없었는지 아예 처음부터 분리되어서 왔어요. 덕분에 손에 힘을 덜줘서 좋았네요.

 

그리고 흰색 스티커가 동봉되어있어서 슬리퍼를 자유롭게 꾸밀 수 있도록 한다고 해요. 이름을 적거나 간단한 이모티콘으로 꾸밀 수 있을 것 같아요.

 

다만, 임시로 위에 붙이는 스타일이라 유지력은 낮을 것같았고 디자인이 제 스타일은 아니어서 가볍게 패스했습니다.

 

😍 박스포장은 전체적으로 깔끔하고 준수했습니다. 그대로 선물용으로 줘도 좋을 정도였고, 2만 원대로 느껴지지 않았어요.

 

대각선 모습

발등에서 발끝까지 가는 동글동글한 쉐입이 꽤 강해요.

 

전체적으로 동글동글하고 귀엽게 생겼어요. 두께감이 있고 높이가 있는 신발이지만 항공모함처럼 발이 커 보이거나 하진 않습니다.

 

정면

이렇게 낮은각도에서 정면으로 보면 이런 모양이지만 실제로 이런 모습으로 볼일은 없죠.

 

위에서 보면 동글동글해서 그냥 "귀여운 신발 신었네? 크록스인가?" 이런 느낌입니다. 

 

그렇다고 구두같다는 느낌은 아닙니다.

 

측면

외부 측면에는 문제의 로고가 프린트되어있고, 내부 측면에는 환풍구? 환기구? 통풍구가 3개가 있어요.

 

다만, 통풍구는 그 존재의 이유를 알 수 없을 정도로 통풍이 잘 되지 않습니다. 신고 있으면 꽤 따듯해져요! 겨울인데도 따듯했고 봄인데도 따듯해졌었습니다. 

 

여름에는 아마 신기가 어려울것같습니다.

 

그래서 발에 열이나 땀이 많으신 분들은 비추천드리고, 오히려 수족냉증 있으신 분들은 따듯하게 신기 좋지 않을까 생각했습니다.

 

발넣는곳

문제의 발 넣는 입구입니다.

발 넣는 곳이 굉장히 작습니다. 굉장히 작아요. 아무래도 발을 잡아줘야 할 부분이 거의 없다 보니까 입구를 조여서 고정하는 구조인 것 같아요. 

 

하지만 맨발로 넣으면 으엥? 스러울 정도로 작은 느낌이었고, 양말을 신고 넣으면 마찰이 줄어서 인지 잘 들어가지만 역시나 좁다! 이런 느낌이 강합니다. 덕분에 통풍은 더 안 되는 느낌!

 

덕분에 제게는 사이즈가 살짝 큰데도 헐떡 거리 거나하진 않았어요. 

 

발등이 높으시거나 왕발러이신 분들, 발볼이 넓으신 분들은 사이즈를 올리시거나 타제품을 알아보셔야 할 것 같다는 생각이 들었습니다. 

 

사이즈 추천

10 단위로 나오는 제품이고 슬리퍼다 보니 사이즈가 애매하다고 생각할 수 있어요. 저는 전체적으로는 정사이즈 추천드리고 산업에서 하나 업까지 추천드립니다.

 

슬리퍼다 보니 왕발, 오버 사이징 하는 걸 좋아하시는 분이라고 해도 2 사이즈업 하면 신발이 안 맞을 수가 있어요 헐 떡 헐 떡 할 수 있기 때문에 최대 한 사이즈 업 까지만 추천드립니다.

 

예를 들어 255 신는 분들은 260.

250 신는 분들은 250 그대로 혹은 260까지 신으시면 될 것 같아요.

+ 발볼과 발등 문제라면 꼭 하나 업은 필요할 것 같습니다.

 

 

로고 프린트 상태

발바닥에 로고가 각인되어있는데, 시착만 했는데도 이 정도로 지워졌습니다. 저렴한 가격이 여기서 티가 나는 것 같아요.

 

신발 로고, 프린트 지우기

애매하게 로고가 헤진 것보다는 아예 없는 게 나을 것 같아서 저는 손가락에 거친 기능성 티셔츠를 감고 밀어내면서 뜯어냈습니다. 힘을 줘서 반복해서 밀어내는 방향으로 힘주면 쉽게 떨어집니다! 자국도 남지 않아요.

 

* 이게 표면을 긁어내는 게 아니라 열로 뜯어내는 느낌이에요! 그래서 사포로 하면 신발이 쉽게 망가져서 비추천드려요. 어떤 옷이든 손수건이나 면 정도의 꺼끌함이 있는 섬유로 손가락에 감으시고 반복적으로 한 방향으로 밀어내서 마찰열로 뜯어내는 방식을 추천드립니다. 

 

 

측면 로고 프린트 상태

측면 로고 또한 상태가 안 좋죠?

우포스 클로그 / 출처 : 우포스

 

문제는 저 로고 자체가 돔바에서 주로 사용하는 자체 로로가 아니고 위의 우포스 클로그에서 사용한 로고를 돔바 느낌으로 디자인해 넣은 것이라는 거예요.

 

디자인 카피 제품인데 로고까지 카피했고, 그것 때문에 더 카피 제품이라는 느낌이 강해지게 하는 전략적으로 굉장히 아쉬운 모습으로 느껴졌습니다.

 

그래서 다만 없느니만 못한 로고라 위에 말한 방법으로 측면 로고도 없애버렸습니다. 한결 마음이 편안해졌어요.

 

최종 후기

전체적으로 2.5만 원으로 동글동글한 쉐입의 감성적인 슬리퍼, 사무실 실내화, 원마일용 마실용 슬리퍼 잘 구매한 것 같아요. 생각보다 미끄럼이 있지도 않고, 소재 두께도 두꺼워서 밑창이 갈려 없어지지 않는다면 사실상 영구적으로 신을 수 있을 것 같다는 느낌이 듭니다. 

 

구매 추천드립니다!!

* 위 링크는 쿠팡 파트너스 링크입니다. 링크를 통해 구입시 쿠팡 파트너스 활동을 통해 수수료를 지급받습니다.


 

 

[제품추천] 맥북 노트북 최소한의 거치대 단돈 1,000원 (다이소 추천템)

맥북 노트북 최소한의 휴대용 거치대 1000원 (다이소 추천템) 최소한의 비용과 최소한의 노력으로 마련할 수 있는 맥북 노트북 휴대용 거치대를 추천드리려고 합니다. 많이들 사용하시는 엘라고,

slowslow.tistory.com

 

[엑셀 공유] 현실적인 교정 비용 계산법 - 교정하기전 알아야 하는 것

현실적인 교정 비용 계산법 - 교정하기 전 알아야 하는 것 1. 교정비용 전체/부분교정, 교정장치 브랜드 종류, 설측 여부, 지역 및 시세 차이 등의 원인으로 차이가 있으나 일반 개인병원에서 할

slowslow.tistory.com

 

감성적이고 예쁜 사무실 슬리퍼 추천 20대 30대

사무실 슬리퍼 추천!

사무실 슬리퍼라고 하면 대부분 지압판이 달린 "아저씨 슬리퍼"가 나오거나, 일반 슬리퍼가 나오는데요.

 

오늘은 예쁘기도 하면서 발에도 편하고 감성적인 슬리퍼를 추천해보려고 합니다. 특히 20대 30대 직장인 분들이 사용하기 좋을 거라고 생각하고, 디자인 계열 - 건축계열 - 패션 계열 등 사무실에서도 스타일을 유지하고 싶은 분들에게 좋을 거라고 생각해요. 

 

* 회사마다 분위기가 다르겠지만 완전히 정장을 고수하는 분위기가 아니고, 비즈니스 캐주얼 ~ 캐주얼 혹은 자율복장이라면 충분히 착용가능하실 거예요! 

 


우포스 클로그

"공인된 착화감과 감성적인 디자인"

우포스 클로그 / 출처 : 우포스

2019년부터 유행을 타기 시작한 우포스 쪼리 때문에 아마 우포스는 많이 들어보셨을 거라고 생각해요.

 

제가 추천해드리는건 쪼리가 아니고 클로그 모델이에요! 우포스 자체는 리커버리 소재로 만들어져 발을 편하게 해 주는 신발입니다.

 

 

유명한 우포스 쪼리 / 출처 : 우포스

한여름용으로 나온 쪼리와 같은 소재와 구조로 만들어졌지만, 실생활에서 사용가능하도록 슬리퍼 형태로 나온 신발이에요.

 

우포스 쪼리가 너무 편해 좋았던 분들이, 사무실에서도 사용하기 좋은 신발이에요. 

 

장점 

- 매우 편한 소재로 발이 편함

- 사무실 내외에서 원마일 슈즈로도 사용 가능

-> 점심시간 간단한 외출 가능

 

단점

- 동글동글한 쉐입으로 발이 조금 뚱뚱해 보임

- 통풍구가 있지만, 작아 발에 땀이 찰 수 있음

-> 통풍이 잘 안됨! 겨울에는 따듯하다고 느낄 수 있는 정도

-> 다한증 발땀러들에게는 비추

- 비 온 날 눈 온 날 미끄럼 주의

 

🚀 제원

- 모델명 : OOFOS OOCLOOG

- 정가 : 65,000

- 구매처 : 무신사, 스타일 셰어 등

- 사이즈 전개 : 230-300 사이즈 10 단위

- 사이즈 추천 : 정사이즈

 

* 우포스는 브랜드 특성상 세일 적용이 거의 없기 때문에 어느 시즌에 구입하셔도 비슷한 가격으로 구입하실 수 있습니다.

 

 

 


버켄스탁 클로그

버켄스탁 클로그 / 출처 : 버켄스탁

버켄스탁은 아래의 애리조나 모델로 가장 유명하죠. 2019년 내외까지 유행했고 지금은 클래식 모델로 정착한 듯해요.

 

유명한 애리조나 모델이 아니라 버켄스탁의 클로그 모델이 있습니다. 버켄스탁 클로그는 사무실 슬리퍼로도 사용 가능하지만 조금 더 투박하고 청키 한 쉐입 때문에 일상용 혹은 패션 감성용으로도 많이 사용돼요.

 

버켄스탁 아리조나 / 출처 : 버켄스탁

슬리퍼인 듯 슬리퍼 아닌 디자인으로 감성적인 무드를 가져가고 싶은 분들께 추천드리는 신발입니다.

 

장점 

- 고무 특유의 투박한 디자인과 내구성

- 사무실 내외에서 원마일 슈즈로도 사용 가능

-> 점심시간 간단한 외출 가능

- 같은 신발 신은 사람을 마주칠 가능성 거의 없음

 

단점

- 신발 자체는 무거운 편에 속함

- 비 온 날 눈 온 날 미끄럼 주의!!

- 직구 구입이 대부분 (국내에서 신어보기 어려움)

- 실내화보다는 외출화로 보일 수 있음

 

🚀 제원

- 모델명 : A630

- 정가 : 9만 원대

- 구매처 : 머스트 잇 등 직구 샵

- 사이즈 전개 : 230-300 사이즈 5 단위

- 사이즈 추천 : 정사이즈

 

* 흰색 제품도 있으나 때가 굉장히 잘 타고 지워지지 않아 검정을 추천합니다.

 


돔바 클로그

출처 : 돔바

왠지 익숙한 디자인이죠. 위에 나왔던 우포스 클로그의 디자인 카피 or 오마주 제품이에요. 돔바는 유명 제품들을 유사한 디자인으로 저렴한 가격에 생산해 판매하는 것으로 유명한 브랜드인데요. 슈펜과 비슷한 브랜드라고 보시면 될 것 같아요.

 

스니커즈류는 다소 착용감, 완성도 등의 이슈가 있지만 돔바 클로그는 괜찮았어요. 전체적으로 하나의 고무로 만들어진 제품이라 완성 도적인 이슈가 발생할 부분이 없는 것 같기도 하고요.

 

이 제품은 다음 글에서 상세 리뷰로 돌아옵니다.

 

5.9만 원의 정가 대비 실제로 온라인에서는 2.9만 원에서 판매 중이며 2021년 3월 현재 기준 배송비 포함 2.5만 원 내외에서 구입 가능해요.

 

오늘 추천드리는 제품 중에 가장 저렴해요.

저렴한 가격에 감성 있는 사무실 슬리퍼를 마련하고 싶은 분들께 추천드려요.

 

장점 

- 비슷한 디자인에서 가장 저렴한 제품

- 사무실 내외에서 원마일 슈즈로도 사용 가능

-> 점심시간 간단한 외출 가능

 

단점

- 비 온 날 눈 온 날 미끄럼 주의!!

- 동글동글한 쉐입으로 발이 조금 뚱뚱해 보임

- 역시나 통풍 문제가 있어 여름에 더울 수 있음

 

🚀 제원

- 모델명 : Clogs Moss MO-3415C

- 정가 : 59,000 -> 29,000

- 구매처 : 공식 스토어, 무신사, 오픈마켓 등

- 사이즈 전개 : 230-280 사이즈 10 단위

- 사이즈 추천 : 정사이즈

 


 

* 위 링크는 쿠팡 파트너스 링크입니다. 링크를 통해 구입시 쿠팡 파트너스 활동을 통해 수수료를 지급받습니다.


 

[엑셀 공유] 현실적인 교정 비용 계산법 - 교정하기전 알아야 하는 것

현실적인 교정 비용 계산법 - 교정하기 전 알아야 하는 것 1. 교정비용 전체/부분교정, 교정장치 브랜드 종류, 설측 여부, 지역 및 시세 차이 등의 원인으로 차이가 있으나 일반 개인병원에서 할

slowslow.tistory.com

 

저렴한 가성비 니트 살때 주의할 점 : 3가지 (4만원 미만 니트)

여러 옷 중에 섬유와 직조로 이루어진 니트는 유독 가격의 영향을 많이 받는 종류입니다. 맨투맨이나 후드티는 2~3만 원대의 제품과 10~20만 원대 제품의 차이를 크게 느끼기 여려 우나, 니트에서

slowslow.tistory.com

+ Recent posts